巴比伦数学babilun shuxue
伊拉克境内的底格里斯河与幼发拉底河流域是世界文明的发祥地之一.约公元前1894年,阿摩利人建立了古巴比伦,习惯上把这一地区的各古代民族统称为巴比伦人.一般称公元前19世纪到公元前6世纪巴比伦人的数学为巴比伦数学.
巴比伦人很早就使用了60进位制记数法,公元前2世纪有了表示空位的记号.他们有完整的加减乘除算法,并使用了60进制的小数与分数.为了便于计算,编制了大量数表,如乘法表、平方表、立方表、平方根表、立方根表、倒数表,以及计算复利的指数表等.他们发明了表示减与乘的记号.
巴比伦数学的最高水平体现在代数方面.尽管没有一般的代数符号,解法也仅限于给出每一步的具体计算,但从其所解决的大量问题看出,他们已经有了解方程的明确概念和方法,并能解决下列问题:
❶ax=b;
❷x2=a;
❸x3=a;
❹x2±ax=b;
❺x2(x±1)=a;
❻x±y=a,xy=b;
❼x±y=a,x2+y2=b;
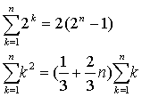
以及多达十个未知数,十个方程的线性方程组.当然,所有的解都取正值.他们分别对n=9和n=10求出了下列级数的和:

不晚于公元前1600年,他们已经掌握了求整勾股数(x
2+y
2=z
2的正整数解)的某种法则.
在几何学方面涉及的问题有:由平行线引出的比例,勾股定理,三角形和梯形的面积,圆的面积与周长(取π=3),棱柱和圆柱的体积.
巴比伦数学的基本特点是它的“算术-代数”性质,几何学是从属于算术与代数的.数学在他们那里还主要是一门实用技术,没有成为科学,但他们的绝大部分数学成果都是在公元前1600年以前取得的,并和埃及数学一起为辉煌的希腊数学奠定了基础.
巴比伦数学Babilun shuxue
西亚两河流域(主要在现在的伊拉克境内)的文化史至少可以上溯到公元前五千年代。约公元前1894年——前1595年,这里有阿摩利人建立的古巴比伦王国, 以后这一地区的各古代民族就被统称为巴比伦人。巴比伦人用刻在粘土泥板上的楔形文字记载他们的知识, 在19世纪以来发掘出的约50万块这种泥板中,约有300块是载有各种数表和数学问题的纯数学书板, 大多属于古巴比伦王国时期,很少一部分属于更早的年代,还有一些是公元前600—前300年间的, 人们正是从这些泥板中了解巴比伦数学的。
巴比伦人对数学的第一个重大贡献是发明了60进位值制记数法,这一直影响到今天的角度与时间计量,他们的记数符号大致如下:
由于表示空位的记号(零号)直到大约公元前3——前2世纪才出现。早期泥板中的数字表示常常发生混乱。他们有完整的加减乘除算法, 发明了表示减与乘的记号,并使用了60进制的小数,为了便于计算,编制了大量数表。如乘法表、平方表、立方表、平方根表、立方根表、倒数表, 以及计算复利用的指数表等。
巴比伦的代数有很高水平, 尽管没有一般的代数符号, 解法也仅限于针对具体问题给出每一步的具体计算, 但问题的大量解决与解法的一致性说明巴比伦人已有解方程的明确概念与方法。并能求解一次方程与方程组、二次方程,双二次方程和某些类型的三次方程,所有的解都只取正值。不晚于公元前1600年,他们已经掌握了推求整勾股数(x2+y2=z2的正整数解)的某种一般法则。在公元前300年左右的一块泥板中载有与下列两式等价的计算过程:
巴比伦人的几何知识包括:由平行线引出的比例,三角形和梯形的面积,勾股定理,圆的面积与周长,在有关计算中他们一般取π=3,但也有一块泥板上出现了取π=31/8的较好近似值。他们能正确地计算了棱柱和圆柱的体积, 但棱台与圆台体积计算却只是十分粗略的近似。
对于巴比伦人来说,数学主要是一门实用技术,其突出成就是算术与代数方面的丰富知识, 几何则处于从属的地位,应该指出,他们的绝大部分数学知识都是在公元前1600年以前取得的, 并对希腊数学产生了深远的影响。