常弹性Constant Elasticity
又称 “不变弹性” 或 “固定弹性”。一个经济变量对另一个经济变量的弹性并不随着后者变动而变动。对一般需求函数
xi=xi(p1,p2,p3,…,pn,m)
来说,对第i种商品的需求弹性(自价格弹性E
ii,交叉价格弹性E
ij和收入弹性E
im)也是商品价格p
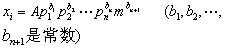
i和收入m的函数。但对于某些特殊的需求函数,需求弹性在整个定义域内是一固定常数。如需求函数是幂函数形式:

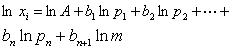
或写成对数形式:

在整个定义域内需求弹性是不变的:
Eii=bi,Eij=bj,Eim=bn+1
〖参〗点弹性
弧弹性