常用精算符号actuarial symbol in common use
寿险工作中常用的精算符号。主要有:
lx——x岁的生存人数。
lx+1=lx-dx=lx×px
q
x——x岁的人在x+1岁之前死亡的概率
px+qx=1,qx=dx÷lx

x——x岁人的完全平均余命。

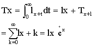
Tx ——lx的人口于x岁以后生存的年数总和

lx——lx的人口自x岁到x+1岁为止生存的年数。

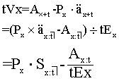
Ax——终身保险给付金的精算现值,也即终身寿险的趸缴纯保费。

a
x——期初付终生年金现值,

nEx——精算折现因子,在生存保险中,若于n年后得S元生存保险金,则需于n年前缴纳纯保费·Ax:

,即nEx

nP
x——缴费期为n年的x岁终身寿险的纯保费。

Px:

——n年两全保险每期纯保费

tV
x——终身寿险第t年的准备金。
