网站首页  词典首页

请输入您要查询的字词:

 

字词 平衡不完全配伍组试验
类别 中英文字词句释义及详细解析
释义
平衡不完全配伍组试验

平衡不完全配伍组试验

平衡不完全配伍组试验又称平衡不完全区组试验。在配伍组试验中,若试验的处理数,大于每一配伍组中能容纳的观察单位数时需用这种方法。它有计划地安排每个配伍组中的处理,使全部试验中每种处理的重复数相等,每两种处理同时出现在一个配伍组中的次数相等,这样,资料分析时就可将包含在处理间的配伍组之影响以及包含在配伍组间的处理之影响消除掉,使处理间的差别不致受到配伍组间差别的影响。
设计 令v为处理数,k为每个配伍组中实验单位(如一个动物,或同时接受相同处理的几个动物均可构成一实验单位)数,v>k,b为配伍组数,r为每种处理的重复次数,λ为每两种处理同时出现的配伍组数,则实验单位的总数为rv或bk。λ必须是整数,可由下式求得,


设计时根据试验要求的k和v从表1中查得所需b和r,以及每个配伍组安排处理的方法,即解法。

表1 平衡不完全配伍组设计及解法






(k)



(v)




(b)



(r)






(k)



(v)




(b)



(r)

34
7
5
6
9
13
10
15
19
21
4
7
10
10
12
26
30
35
57
70
3
3
6
5
4
6
9
7
9
10
所有结合
正交方
所有结合
解法1
正交方
解法4
解法15
解法7
解法18
解法25
616
16
21
31
46
51
16
24
28
31
69
85
6
9
8
6
9
10
解法5
解法17
无解
正交方
待解
待解
78
15
22
21
28
49
8
15
22
30
36
56
7
7
7
10
9
8
所有结合
解法9
无解
解法26
解法22
正交方
45
7
13
8
6
10
9
16
25
28
5
7
13
14
15
15
18
20
50
63
4
4
4
7
10
6
8
5
8
9
所有结合
正交方
正交方
解法6
所有结合
解法3
解法11
正交方
解法13
解法21
89
15
29
36
57
64
9
15
29
45
57
72
8
8
8
10
8
9
所有结合
解法9
无解
无解
正交方
正交方
910
13
19
25
37
73
81
10
13
19
25
37
73
90
9
9
9
9
9
9
10
所有结合
正交方
解法19
解法20
解法23
正交方
正交方
56
11
9
10
15
21
25
41
6
11
18
18
21
21
30
82
5
5
10
9
7
5
6
10
所有结合
解法2
解法11
解法16
无解
正交方
正交方
解法29
1011
16
19
31
46
91
11
16
19
31
46
91
10
10
10
10
10
10
所有结合
解法5
解法19
解法27
无解
正交方
67
11
9
10
7
11
12
15
6
6
8
9
所有结合
解法2
正交方
解法3

摘自 Fisher RA and Yates F: Statistical Tables for Biological,Agricultural and Medical Research,p 85,Oliver and Boyd,1957
列出的解法有三种,即所有结合、正交方和解法号。所有结合指给定条件下的所有组合。如给定条件k=3、v=4、b=4、r=3,以a、b、c、d为四种处理,则四个配伍组安排的处理分别为abc,abd,bcd,acd。余类推。
利用正交方的排列安排处理,又有两类解法(表2):❶类型(1),若v=k2,则b=k(k+1)。如v=16,k=4,则b=4(4+1)=20,以a,b,c,…,o,p为16种处理,20个配伍组的处理安排如下: 先将16种处理(字母)按横行排列,得1~4配伍组,再将此16个字母按纵列排列,得5~8配伍组。每一横行为一配伍组,有四种处理。然

表2 正交方解法例


配伍组号类 型(1)类 型(2)
v=k2 b=k(k+1)
v=16 k=4 b=20
v=k(k-1)+1=b
v=21 k=5 b=21
1
2
3
4
a b c d
e f g h
i j k l
m n o p
a b c d q
e f g h q
i j k l q
m n o p q
5
6
7
8
a e i m
b f j n
c g k o
d h l p
a e i m r
b f j n r
c g k o r
d h l p r
9
10
11
12
a f k p
b e l o
c h i n
d g j m
a f k p s
b e l o s
c h i n s
d g j m s
13
14
15
16
a g l n
b h k m
c e j p
d f i o
a g l n t
b h k m t
c e j p t
d f i o t
17
18
19
20
a h j o
b g i p
c f l m
d e k n
a h j o u
b g i p u
c f l m u
d e k n u
21 q r s t u

后查4×4正交方(见有关统计书),得如下三个正交方

1 2 3 4
2 1 4 3
3 4 1 2
4 3 2 1
1 2 3 4
3 4 1 2
4 3 2 1
2 1 4 3
1 2 3 4
4 3 2 1
2 1 4 3
3 4 1 2

将正交方Ⅱ、Ⅲ的横行与纵行互换得Ⅱ′、Ⅲ′。

Ⅱ′Ⅲ′
1 3 4 2
2 4 3 1
3 1 2 4
4 2 1 3
1 4 2 3
2 3 1 4
3 2 4 1
4 1 3 2
把正交方Ⅰ、Ⅱ′、Ⅲ′中各列的阿拉伯字按顺序换成字母,如第1列1,2,3,4分别代表a,b,c,d;第2列1,2,3,4分别代表e,f,g,h;第3、4列则分别代表i,j,k,l及m,n,o,p。仍以每行为一配伍组,即得第9~20个配伍组的处理安排,见表2类型(1)栏。
❷类型(2),若v=k(k-1)+1=b,如v=b=21,k=5,21种处理为a,b,c,…,t,u,先按类型(1)安排20个正交方解,然后将最后5种处理q,r,s,t,u分别加入各配伍组,qrstu亦为一配伍组,即组成21个配伍组,见表2类型(2)栏。解法号的解法查表3,其中有的直接列出了各配伍组中

表3 平衡不完全配伍组的联合解法


摘自 Fisher RA and Yates F: Statistical Tables for Biological Agricultural and Medical Research,P 84,Oli-ver and Boyd,1957
处理的安排,如解法6、7等; 有的列出了循环解法的字母,如解法2,为aefgi,循环的结果见表4,表中解法1为

表4 循环解法例

配伍组解 法2解 法1*
v=11, k=5
r=5, b=11
v=6, k=3
r=5, b=10
1
2
3
a e f g i
b f g h j
c g h i k
a e f
b f j
4
5
6
7
8
9
10
11
d h i j a
e i j k b
f j k a c
g k a b d
h a b c e
i b c d f
j c d e g
k d e f h
d j a
e j b
f j a
a b d
a b e
b d f
j d e
d e f

* 用解法2划消第3配伍组的五个处理解法2划消任一配伍组中的五个处理;两(或三)系皆用,指用两(或三)组字母循环,如解法4;双循环解法指先循环字母再循环数字,如解法5,v=b=16,r=k=6,循环的结果如下:

a1a2a3b1c4d1
b1b2b3c1d4a1
c1c2c3d1a4b1
d1d2d3a1b4c1
a3a4a1b3c2d3
b3b4b1c3d2a3
c3c4c1d3a2b3
d3d4d1a3b2c3
a2a3a4b2c1d2
b2b3b4c2d1a2
c2c3c4d2a1b2
d2d3d4a2b1c2
a4a1a2b4c3d4
b4b1b2c4d3a4
c4c1c2d4a3b4
d4d1d2a4b2c4

分析 在配伍组试验资料分析的基础上,把配伍组与处理间的相互影响分开,为此需求出消除配伍组影响的处理间均方及消除处理影响的配伍组间均方,并求出各处理的最有效估计值。计算步骤与公式如下:
令Xi为某一试验单位的结果,Bi为某一配伍组小计,Vi为某种处理所有结果合计,Ti为包含该处理的各配伍组小计之和,Ti'为其余各配伍组小计之和,G为所有实验结果之总和,b,v,r,k的意义同前。
方差分析见表5,该表分(a)、(b)两部分,由(a)可求得消除配伍组影响的处理间离均差平方和,由(b)可求得消除处理影响的配伍组间离均差平方和。表内列出了各部分计算时所用公式及某些项目间的关系。

表5 平衡不完全配伍组方差分析表


(1)先按配伍组试验资料分析方法,用式(1)~(3)求下列离均差平方和。


(2)为将配伍组与处理间的相互影响分开,再以式(4)~(11)求下列各离均差平方和。
配伍组间(不分处理)项内的


余数 式(2)-式(4)。(5)
配伍组间(消除处理影响)项则由
处理部分 ∑w2i/[rv(v-k) (k-1)] (6)与余数式(5)之和组成,即式(5)+式(6),式(6)中
wi=(v-k)Vi-(v-1)Ti+(k-1)G。(7)处理间(消除配伍组影响) ∑(kDi)2/(k2rE),(8)其中,kDi=kVi-Ti (9)是配伍组内处理的相差,当k>v/2时,用
kDi'=kVi十Ti'。(10)
E为有效因子,


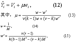
在配伍组试验中k=v,则E=1;当k(3)计算各处理的最有效估计值Ŷi及其误差均方sŶ。


M为配伍组内误差均方,M′为配伍组间均方;


(4) 必要时可按多个样本均数间两两比较的方法(见条目“多个样本均数间两两比较”)比较各Ŷi值间的两两相差,或按资料情况作其他分析。
例 用大白鼠做实验,拟设9种处理(v=9)并各给代号:a正常对照,以照射量为500R的x线照射后o1小时,c5小时,d12小时,e1天,f 3天,g7天,h 10天,s 14天;然后杀死,作血浆皮质酮含量(μg/dl)检查。每周只能做三种处理(k=3),每种处理用3只动物构成一实验单位。
(1)设计。按k=3,v=9,查表1得b=12,r=4,以a,o,c,d,e,f,g,h,s代表九种处理,用正交方经随机化后安排试验,得结果(系同一处理作为一个实验单位的三鼠结果合计)如下:

配伍组号(1)(2)(3)(4)(5)(6)
处理及结果
(Xi)
d84.2
e82.2
f85.8
c84.4
e84.0
g59.3
a55.5
f61.1
h60.8
g55.1
h31.3
s34.4
c135.7
d114.0
h45.8
o84.3
f84.1
g45.4
合计(Bi)252.2227.7177.4120.8295.5213.8
配伍组号(7)(8)(9)(10)(11)(12)
处理及结果
(Xi)
a61.9
e78.6
s77.1
c133.4
f89.4
s51.6
a74.4
d75.7
g89.2
o75.7
e60.2
h66.2
a64.0
o151.3
c161.7
o160.5
d148.2
s43.8
合计(Bi)
总计(G)
217.6
2950.3
274.4239.3202.1377.0352.5

(2)分析。
H0: 照射前后不同时间血浆皮质酮含量的均数相等,
H1: 不同时间的均数不等或不全相等。
α=0.05。
本例v=9,k=3,b=12,r=4,λ=1。
G=84.2+82.2+…+43.8=2950.3,
∑X2i=(84.2)2+ (82.2)2+…+(43.8)2=284502.15,
∑B2i=(252.2)2+(227.7)2+…+(352.5)2=781685.49,
按式(11),


表6 初步计算结果


处理ViTikDi
(kVi-Ti)
wi
[(v-k)Vi-(v-1)Ti
+(k-1)G]
Ŷi
(Vi+μwi)
a
o
c
d
e
f
g
h
s
255.8
471.8
515.2
422.1
305.0
320.4
249.0
204.1
206.9
1011.3
1145.4
1174.6
1139.5
899.6
917.8
801.6
795.8
965.3
-243.9
270.0
371.0
126.8
15.4
43.4
-54.6
-183.5
-344.6
-655.0
-431.8
-405.0
-682.8
533.8
480.6
981.8
758.8
-580.4
242.14
462.79
506.75
407.86
316.13
330.42
269.48
219.93
194.79
合计
平方和
2950.3
1073774.91
(∑V2i)
8850.9
8872115.55
(∑T2i)
0
443629.74
∑(kDi)2
0
3638208.72
(∑w2i)
2950.29
——

离均差平方和:按表5公式。
总变异:按式(1),


配伍组间(不分处理):按式(2),


处理部分:按式(4),


余数:按式(5),

18776.55-18649.50=127.05。


配伍组间(消除处理影响)项中的处理部分: 按式(6),

3638208.72/[4×9(9-3)(3-1)]=8421.78,


配伍组间(消除处理影响): 按式

(5)+(6),127.05+8421.78 =8548.83,


处理间(不分配伍组): 按式(3),

[1073774.91-(2950.3)2/9]/4=26658.45,


处理间(消除配伍组影响): 按式(8),

443629.74/(32×4×0.75)=16430.73,


配伍组内误差: 按式(1)-(2)-(8),

42716.87-18776.55-16430.73=7509.59


或按式(1)-(3)-(5)-(6),

42716.87-26658.45-127.05-8421.78=7509.59,


表7 方差分析(按表5公式)


F=2053.84/469.35=4.38,


查F界值表得P<0.01,按α=0.05水准,拒绝H0,接受H1,故可以认为照射前后不同时间血浆皮质酮含量不等。
按式(12)~(16)计算Ŷi及8ŷ:


各Ŷi值见表6。


每种处理重复4次,每次实验每种处理用3只大白鼠,故表6中Ŷi值以12除之为每鼠的平均值见表8。

表8 大白鼠经X线照射后血浆皮质酮含量(μg/dl)

对照照 射 后 时 间
1小时5小时12小时1天3天7天10天14天
20.1838.5742.2333.9926.3427.5422.4618.3316.23

将表8资料作图,见图。


大白鼠经X线照射后不同时间的血浆皮质酮含量


由图可见大白鼠经X线照射后血浆皮质酮含量在5小时左右即升至高峰,以后随时间逐渐降低。经F检验,照射后12小时与对照组的差别已无显著性。
☚ 配伍组试验   交叉试验 ☛
00013192
随便看

 

文网收录3541549条中英文词条,其功能与新华字典、现代汉语词典、牛津高阶英汉词典等各类中英文词典类似,基本涵盖了全部常用中英文字词句的读音、释义及用法,是语言学习和写作的有利工具。

 

Copyright © 2004-2024 Ctoth.com All Rights Reserved
京ICP备2021023879号 更新时间:2025/10/18 15:53:55