异面直线所成的角yimian zhixian suocheng de jiao
a,b是两条异面直线,经过空间任意一点O,作直线a′∥a,直线b′∥b,则直线a′和直线b′所成的锐角(或直角)叫做异面直线a和b所成的角(图1).

图1
异面直线所成的角反映了两条异面直线在方向上的差异.它是研究两条异面直线互相垂直、三垂线定理的基础.计算异面直线所成的角的基本步骤是:
❶根据异面直线所成的角的定义,找出异面直线所成的角θ.
❷解含有角θ的三角形,求出角θ的大小.
在完成第一步时,应注意为完成第二步作好准备.

图2
通常把角θ的顶点选在两条异面直线中的一条上.
例 在长方体ABCD-A
1B
1C
1D
1中(图2),BC=a,CD=b,DD
1=c,且b>a.求异面直线A
1C和B
1D
1所成的角.
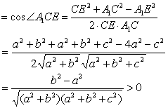
解 过C作B
1D
1的平行线EF,与AB,AD的延长线分别交于F,E两点.则∠A
1CE就是异面直线A
1C和B
1D
1所成的角.连结A
1E.因为EF∥B
1D
1,所以EF∥BD.四边形BCED是平行四边形.所以CE=BD=





在上面的例题中,若已知a=b,则可根据三垂线定理证明直线A
1C与BD互相垂直,所以A
1C与BD所成的角为90°.这时可不用异面直线所成的角的定义求.