网站首页  词典首页

请输入您要查询的字词:

 

字词 影响肾素血管紧张素药
类别 中英文字词句释义及详细解析
释义
影响肾素血管紧张素药

影响肾素血管紧张素药

肾素是在肾内生成和储存的蛋白水解酶,在下述情况下肾素分泌增加:
❶由各种原因引起的肾灌注压下降;
❷肾原尿中Na+含量减少;
❸交感神经兴奋,激活肾小动脉上β受体。在血液循环中的肾素作用于血管紧张素原,使之水解成血管紧张素Ⅰ(AⅠ)。在肺中存在大量转移酶,AⅠ在转移酶作用下生成生物活性高的血管紧张素Ⅱ(AⅡ),AⅡ作用于血管平滑肌、中枢神经系统和肾上腺皮质的AⅡ受体,而引起小动脉收缩,迷走张力降低和醛固酮分泌增加,从而引起血压升高,心率加速,心排出量增加和水钠再吸收增多。由于血压升高,可反馈地抑制肾素分泌,在正常血容量和有充足钠供应情况下,肾素血管紧张素在维持循环稳定性方面所起的作用小;在血容量减少和钠不足的情况下这个系统在维持正常血压方面起重要作用。
由于影响肾素-血管紧张素系统而发挥降压效力的药物有两种:
❶血管紧张素AⅡ拮抗剂:随着AⅡ结构的阐明,根据AⅡ类似物构效关系的研究,发现一些化合物有AⅡ拮抗作用,其中以肌丙抗增压素的研究较为深入,并已用于临床。它除具有拮抗AⅡ效力外,还有内在活性,可激活AⅡ受体引起血压升高。它对血压的影响是上述两种作用的净效应。本药口服无效,作用维持时间短(很快被多肽酶水解),能降低肾素依赖型高血压病人的血压,临床上用于诊断肾血管型高血压。
❷血管紧张素转化酶 (ACE)抑制剂: ACE抑制剂防止AⅠ转变成AⅡ,其结果是血中AⅠ的累积和AⅡ生成减少。本药还阻止具有扩张血管作用的缓激肽分解,血中缓激肽含量增加。ACE抑制剂是70年代发现和被广泛研究的新药,Ferreira等从蛇毒中分离出具有抑制ACE的混合物,后来从中提取到9个多肽,壬肽抗压素 (9肽,SQ-20881,teprotide)有较高特异性,但口服无效,且作用维持时间短,临床应用受到限制。大量活性-结构关系的研究导致甲巯丙脯酸的发现。
甲巯丙脯酸 甲巯丙脯酸 (captopril,SQ 14225) 能抑制ACE,引起血浆AⅠ增加,AⅡ减少,通过反馈使肾素和醛固酮分泌减少。具有血管扩张作用的缓激肽的降解受阻,使血中缓激肽含量增加,而对血管无直接作用。


甲巯丙脯酸能降低肾血管型和原发高血压病人的血压,对肾素依赖型高血压的降压效力较明显,对低肾素型高血压有轻度降压作用。与利尿剂合用效力加强。口服有效,作用出现快,15~30分钟出现作用,1~2小时下降最明显,维持6小时。血压下降与ACE的抑制程度呈正相关,表明其降压作用主要是由于AⅡ生成减少。服用本药后,脑、冠脉和肾血流增加,阻力降低,心率、心排出量和心肌氧耗无明显改变,但心衰病人服用本药后,前后负荷降低,心脏指数增加,心功能改善。
甲巯丙脯酸的不良反应有皮疹、发热、粒性白细胞减少和食欲减退。主要用于肾素依赖型高血压,对严重心力衰竭病人也有较好疗效,常与利尿剂合用。
开始时一次口服甲巯丙脯酸25mg,每天2次,以后逐渐加量。
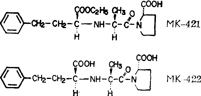
甲巯丙脯酸含SH基,在血中不稳定,有皮疹和发热等不良反应。后来美国和日本合成了很多化合物,以寻找疗效高副反应少的ACE抑制剂。近年来报告不含SH基的苯丁酯脯酸(MK-421)的降压作用比甲巯丙脯酸强,作用维持时间也较长,而副反应少,用于治疗严重的高血压和心力衰竭病人。它的代谢产物MK-422的作用比MK-421更强。
苯丁羟脯酸 (enalapril,MK-421)和苯丁脂脯酸(MK-422) 近年还研究抑制肾素的肾素抗体,并试用于临床。

☚ 血管扩张药   钙拮抗药 ☛
00005492
随便看

 

文网收录3541549条中英文词条,其功能与新华字典、现代汉语词典、牛津高阶英汉词典等各类中英文词典类似,基本涵盖了全部常用中英文字词句的读音、释义及用法,是语言学习和写作的有利工具。

 

Copyright © 2004-2024 Ctoth.com All Rights Reserved
京ICP备2021023879号 更新时间:2025/10/17 11:09:45