网站首页  词典首页

请输入您要查询的字词:

 

字词 中厚板理论
类别 中英文字词句释义及详细解析
释义 中厚板理论

加载后由于横向剪切力引起的剪切变形与弯曲变形属于同一数量级的板弯曲理论。

中厚板理论首先于1945年由瑞斯纳(E.Reissner)提出,又称瑞斯纳板理论,它与薄板理论的主要区别在于分析中厚板时必须考虑横向剪切变形的影响。近百年来,受弯构件分析方法主要属于经典理论范畴,采用Kirchhoff“直法线”假定;由于这一假定,才使复杂的力学理论能应用于大部分板结构的计算。经典理论的“直法线”假设规定原垂直板中面的法线变形后仍保持为直线,且垂直于此变形后的中面,也即是剪切变形为零。

由平衡微分方程得知,不均匀的弯矩和扭矩必将产生垂直剪力和相应的剪应力,有剪应力而无剪切变形这是不符合固体力学基本方程的。

从物理上来看,无剪切变形是与假定剪切模量Gz=∞等价的,这实际上是用假想的不是完全各向同性的材料来代替真实的可以认为是各向同性的材料。此外经典理论还假定挤压变形为零。

另一方面我们从弹性薄板挠曲四阶微分方程D▽4W=q,以及相应的两个边界条件来看,它们能够,并且必须在每一边缘上得到满足,即是由于假定Gz=∞,对于作用在板横截面上的力矩,如果力矩向量与截面法线相重合,则板单元不会相应地产生转动,这使我们能够把作用在边缘X=a上的水平剪应力所引起的扭矩变化率和作用在同一边缘上的垂直剪力Qx的影响等同起来;边界条件的数目由3个减为两个,由于边界条件数目的减少,使弹性薄板的应力分析大大地简化。然而对于有限厚的板则需要3个边界条件,要比2个更容易得到较为精确的解答。

对于工程中常用的板结构,其厚跨比远小于1时,板中应力则有之关系,因此,在计算弯曲应力时,忽略剪应力产生的剪切变形和法应力产生的挤压变形还是许可的;而当板的厚度增大时,剪应力τxz、τyz和挤压应力бz相对于бxy)就显得不能忽略不计,因此,在大厚跨比的中厚板中必须考虑剪切变形和挤压变形的影响。在1944年和1945年瑞斯纳提出中厚板理论以后的几十年中,许多科学工作者对该理论进行了大量的研究。

采用不同的假设、不同的独立变量以及不同的置换方式,得出了不同的中厚板理论。大体可归纳为两大类:第1类是单挠度理论,即以总的垂直挠度W和剪力Qx、Qy或者转角βx、βy为独立变量的一组微分方程的形式;第2类是双挠度理论,即将总挠度W分为弯曲挠度Wb与剪切挠度Ws之和。

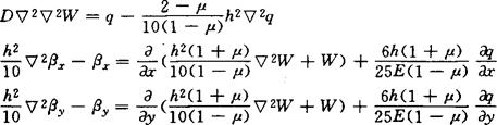
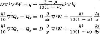
关于单挠度理论,在1945年瑞斯纳提出的一种形式是以挠度和剪力Qx和Qy为独立变量表示的一组方程

第2种形式是以挠度和转角βx为独立变量表示的一组方程

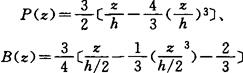
其中D为板的抗弯刚度,E为弹性模量,μ为泊桑系数,h为板厚,。该方程组是在限定水平位移偏离经典理论的“直法线”部分的位移函数-称偏离位移函数P(z)-以及同时考虑挤压变形影响-挤压变形函数B(z)-均为三次曲线分布形式。

而推导出来的。

1947年H.Hencky给出的中厚板理论2种形式的方程组,其独立变量与Reissner式中的独立变量相同,但转角表达式则不同(),偏离位移分布函,不考虑挤压变形的影响,给出的弯曲应力沿板厚为直线分布规律,看起来是Reissner理论的简化,而实际上则是出发点不同,因该文于1944年11月在内部刊物上发表过。

50年代,R.D.Mindlin(1951)、Ф.Б.Bцacoб(1957)等提出的中厚板理论则只考虑剪切变形的影响,而略去挤压变形的影响,认为挤压应力бz的最大值为表面承担的表面外荷载q(x.y),它远小于弯曲应力бx或бy。他们限定偏离位移函数P(z)分别为,挤压变形函数均为零B(z)=0。Mimdlin方程中的独立变量与Reissner式中独立变量相同,但转角表达式有所不同,而Вцасоб则是通过变量置换,用二个新的独立变量tx及ty代替独立变量剪力Qx、Qy及转角βx、βy而得出一组厚板理论方程。A.Kromm(1953)则是从挤压应力бz与竖向剪应力τxz、τYz的分布规律入手,取бz=q(x,y)Bz(z)以及τYz=QYB2(z),式中B1(z)、B2(z)则分别为挤压应力分布函数和横向剪应力分布函数。

假定挤压应力分布函数中包括代数项和三角函数项组成的多项式,通过边界条件确定出多项式中的系数,并将三角函数展成级数最后得出Reissner给出的三次函数相类似的函数形式但表达式不同,而,此处h为板厚。最后给出独立变量为W和Qx,Qy的一组厚板基本方程。

L.H.Donnell(1946)、杜庆华(1962)、V.Panc(1964)则分别发表了双挠度理论的厚板理论的基本方程,D▽22Wb=q(x.y)和Gh▽22Ws=-q(x,y)。胡海昌(1962)则是从基本弹性体方程入手,通过变换取,式中为弯曲挠度消去βx、βy得出以总挠度w、弯曲挠度w及一个转角θ为独立变量的一组微分方程,该方程中独立变量同CauchyRiemann方程式中独立变量,而基本方程形式不同。

1986年丁树人对偏离“直法线”部分的位移函数P(z)不作任何限制,而只是认为各截面水平位移偏离部分是几何相似的,仍不考虑挤压变形的影响,根据能量原理得出了更为符合实际的偏离位移函数P(z)。因为在P(z)式中包含有材料常数、未知板的挠度W、剪力Qx、Qy,这样需用迭代法才能求解,考虑到它的适用性,作了进一步的简化,提出与厚跨比无关仍为双曲正弦的表达式形式,。同样以挠度W和剪力Qx、Qy为独立变量得出一组基本微分方程组。

厚板理论的基本方程为非线性方程,于薄板理论基本方程组比,数学上较复杂,由于数学上求解困难,已有各种不同的近似求解方法。70年代以前大都采用重三角级数求解,如1962年杜庆华对于双挠度理论采用逆解法形式,将弯曲挠度Wb和剪切挠度Ws则假定为多项式与双曲余弦级数的组合来解厚板问题。70年代以后则以有限元和有限条法解Mindlin厚板理论,即在联结处(结点或结线)以挠度W和截面的转角(фx、фy)为独立变量,分别假定移位模式来建立刚度方程,进入80年代为提高解的精度,则采用高精度有限元解此问题,这也是相当多的,同时用高级有限条解厚板问题文章也不少。

1991年丁树人从基本方程式入手,用精度较高的曲线差分法解矩形厚板受“土山状”荷载作用下按Reissner厚板理论基本方程取得了较好的结果。

厚板理论的研究已较全面和成熟,而且解法也是相当多的,但有的方面已有很多方法正在进一步研究之中。

【参考文献】:

1 Reissner E. JAM, 1945,12

2 Hencky H. Ing - Arch, 1947,16

3 MindlimRD.JAM,1951,18

4 Kromm A. Imge Archiv xxl Band, 1953

5 Baco AH cccp. OTH, 1957

6 杜庆华清.华大学学报,1962,9

7 胡海昌.力学学报,1963,6

8 李星,丁树人.太原工业大学学报,1990,21(1)

9 丁树人,李星.太原工业大学学报,1990,21(4)

(太原工业大学丁树人教授撰)

上一篇:疲劳与断裂
下一篇:现代科技综述大辞典上目录
"中候黑丸中候黑丸

【方源】:

《肘后方》卷四。

【异名】:

中军候黑丸(《千金》卷十八)。

【组成】:

桔梗四分 桂四分 巴豆八分(去心皮) 杏仁五分(去皮) 芫花十二分

【用法】:

并熬令紫色,先捣三味药为末,又捣巴豆、杏仁如膏,合和为丸,如胡豆大。

服一丸取剂,至二三丸。儿生十日欲痫,皆与一二丸如粟粒大。诸腹内不便,体中觉患便服。得一两行利,则好也。

。【主治】:

水肿,痰饮,心腹胀满,大小便秘涩。

❶ 《肘后方》:诸癖结痰饮,小儿欲发痫。
❷ 《千金》:澼饮停结,满闷目暗。
❸ 《普济方》:水从头面至脚肿,头眩痛,身虚热,名曰元水,体肿,大小便涩。

。【宜忌】:

《普济方》:忌猪肉、芦笋、生葱等。

【方论选录】:

《千金方衍义》:取杏仁熬黑,以涤胸中宿垢,与巴豆破积不殊;并取芫花利水,桂心散血,桔梗上通肺金,下走大肠。所以水肿先从头面至足,头眩身热,亦取用之。《本经》治腹满肠鸣幽幽,岂非下走大肠之一验乎!

【备考】:

本方方名,《普济方》引作“中候姜黑丸”

随便看

 

文网收录3541549条中英文词条,其功能与新华字典、现代汉语词典、牛津高阶英汉词典等各类中英文词典类似,基本涵盖了全部常用中英文字词句的读音、释义及用法,是语言学习和写作的有利工具。

 

Copyright © 2004-2024 Ctoth.com All Rights Reserved
京ICP备2021023879号 更新时间:2025/11/30 15:48:14