网站首页  词典首页

请输入您要查询的字词:

 

字词 中固辊的强度及挠度计算
类别 中英文字词句释义及详细解析
释义 中固辊的强度及挠度计算

【说明】 中固辊的强度计算主要是核算辊体的应力,其次是芯轴的应力。参见图1-15-43。

a-仅在辊体正中部位固装,b-中固段长度为C时的辊筒

1.辊体的应力计算

(1)辊体中部的最大弯曲应力计算

【公式】

式中 σ1——辊体中部的最大弯曲应力(N/m2)

EZ、ET——分别为芯轴及辊体材料的弹性模数(N/m2),对钢芯轴,EZ=2.06×1011N/m2;对于铸铁辊体ET=1.03×1011N/m2

IZ、IT——分别为中固辊范围内芯轴及辊体的惯性矩(m4)

D——辊体外径[不计包胶等辊面附加层(m)]

M1——中固辊最大弯矩(N·m)

q——辊面所受的均布载荷(N/m),设q均布于全长上,当中固辊为上辊时,则:

P——附加压力(N)

b——辊体面宽(m)

l——辊的轴承中心距(m),并令:

式中 M2——辊体两侧段中的最大弯矩(N·m)

式中 m——中固段长度与辊面宽度之比值

c——中固段长度(m)

W——辊筒的截面模数(m3)

其它同上

2.芯轴的最大应力计算

(1)过盈配合的中固段所能传递的转矩计算

【公式】

式中 MN——转矩(N·m)

c——中固段长度(m)

f——配合面间的摩擦系数,可取f=0.08

P——配合面上的压力(Pa)

D1——中固段处辊体内径(m)

(2)芯轴的危险截面(中固段端部)的最大弯矩计算

【公式】

式中 MZ——危险截面最大弯矩(N·m)

其它同上

(3)芯轴的最大应力计算

【说明】 芯轴的最大应力应为MN与Mz先换算成合成弯矩后再计算。钢质芯轴的最大应力不应超过6×107~8×107Pa(600~800kg/cm2)

3.中固辊的挠度计算

(1)由弯矩产生的挠度

【说明】 在一般情况下,由弯矩产生的最大挠度位于距辊面正中为(0.15~0.2)b处的截面上。当n=1.2(n为轴承中心距l与辊面宽b之比)、而取α=0.41(α为刚度换算系数,α=,E1I1——在中固段内辊体与芯轴的总刚度;E2I——辊体除中固辊以外两侧的刚度)时,可以足够精确地认为最大挠度在0.2b处且其值可用下式表示。

【公式】

式中 f1——由弯矩产生的挠度(m)

其它同上

【注意】 由此计算的挠度是很小的,仅为相同条件下普通压榨辊的4%,几乎接近于压榨辊辊面不柱度公差值。因此,在人造石辊面的中固辊作为上辊与包胶的可控中高辊相配而组成压区时,可以适应较大的压区压力变化范围而仍能在合理的程度内保持压区压力分布的均匀性。

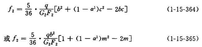
(2)由剪力产生的挠度计算

【说明】 在中固辊两侧段端面处(即x=)的剪切挠度有最大值。

【公式】

式中 f2——剪力挠度(m)

α1—刚度系数

(1-15-366)

G1F1——中固段上的截面总刚度(N·m2)

G2F2——辊体两侧段上的辊体刚度(N·m2)

(3)中固辊的总挠度计算

【说明】 中固辊的总挠度为由弯矩产生的挠度与由剪力产生的挠度二者的叠加。

随便看

 

文网收录3541549条中英文词条,其功能与新华字典、现代汉语词典、牛津高阶英汉词典等各类中英文词典类似,基本涵盖了全部常用中英文字词句的读音、释义及用法,是语言学习和写作的有利工具。

 

Copyright © 2004-2024 Ctoth.com All Rights Reserved
京ICP备2021023879号 更新时间:2025/10/18 21:22:02