网站首页  词典首页

请输入您要查询的字词:

 

字词 抗心律失常药
类别 中英文字词句释义及详细解析
释义

抗心律失常药antiarrhythmic

一类防治过速性心律失常的药物。如奎尼丁(quinidine)、心得安(propranolol)、利多卡因、苯妥英钠、异搏停(isoptin)、普鲁卡因胺(procainamide)及双异丙吡胺(disopyramide)等。主要通过降低心脏自律性,延长有效不应期和改变传导速度等方式而呈效。

抗心律失常药

治疗快速型心律失常(常见的有心房纤维性颤动、心房扑动、房性心动过速、室性心动过速以及过早搏动等)的药物。分五大类:1.主要抑制钠通道的Ⅰ类药有奎尼丁、普鲁卡因酰胺、异丙吡胺、常咯啉;2.主要促进钾外流的Ⅱ类药有利多卡因、苯妥英钠、慢心律、安搏律定、室安卡因;3.肾上腺素β受体阻断剂,Ⅲ类药以心得安为代表;4.延长动作电位时间的Ⅳ类药有乙胺碘呋酮、溴苄铵;5.慢通道阻滞剂,以异搏定为代表。

抗心律失常药antiarrhythmic drugs

指能预防、治疗快速型心律失常的药物。主要是通过影响心肌钠、钾、钙离子转运,减慢自发性舒张期除极速率而降低异位自律性,或/和影响膜反应性,加速或减慢传导,延长或相对延长有效不应期,从而取消折返冲动而达到防治心律失常或减慢心室率的目的。根据作用机理可将其分为五类:
❶钠通道阻滞剂如奎尼丁;
❷钾外流促进剂如利多卡因;
❸β受体阻断药如普萘洛尔;
❹延长动作电位时程药如胺碘酮;
❺钙通道阻滞剂如维拉帕米。不同类型心律失常应选用相应的有效药物。

抗心律失常药

抗心律失常药

抗心律失常药一般系指防治过速性心律失常的药物。近年来,由于电生理的深入研究,对抗心律失常药物作用机理有了进一步认识; 药物在体内含量的微量测定法的建立,使能根据药代动力学的原则制定控制心律失常的用药方案; 连续监测心电图,并借助于计算机以评定患者血药浓度与药物临床疗效的关系。所有这些进展对新药的发现和心律失常的治疗起到很大的促进作用。根据抗心律失常药的电生理学特点,曾提出过多种分类方法。现通常分为下列四类。膜稳定剂、动作电位时程及不应期延长剂、β-受体阻断药与钙拮抗剂。但也有把前两种称为非特异性抗心律失常药,后两种称为特异性抗心律失常药。
膜稳定剂(膜抑制剂) 此类药物抑制Na+内流,又根据对K+的作用不同再分为A、B两类。后者促进K+外流,前者则影响不大。属于A类的药物有奎尼丁、普鲁卡因胺,缓脉灵,双异丙吡胺等。临床上主要用于室上性心律失常,也用于室性心律失常。这类药物抑制心肌细胞去极化时的Na+内流,因而降低O相去极化最大速率,延长动作电位时程,降低其绝对高度。对静息电位无影响。此类药物抑制传导,变单相阻滞为双相阻滞,从而消除由折返引起的心律失常。又因抑制4相Na+内流,使其坡度变平,故能消除由自律性增高所引起的心律失常。B类药物主要包括利多卡因、苯妥英钠、慢心律和安室律定等。主要用于室性心律失常,对洋地黄诱发的室性和室上性心律失常也均有效。本类药物加快3相K+外流,使3相缩短,动作电位时程缩短,而有效不应期相对延长。对损伤区传导速度加快,能改善单相传导阻滞。也能抑制4相Na+内流,使4相坡度变平,消除自律性增加引起的心律失常。
动作电位时程及不应期延长剂 主要包括溴苄乙胺、乙胺碘呋酮和sotalol。对室性心动过速有较好疗效。本类药物延长有效不应期和动作电位时程,使异位兴奋落在不应期而被消除。对静息电位和去极化速率无影响。
β受体阻断剂 常用的为心得安,这类药物可消除一切由内源性儿茶酚胺释放引起的心律失常,用于室性和室上性心动过速。这类药物阻断心脏β受体,因而减慢心率和心肌收缩力,延长房室传导时间及抑制自律性。
钙拮抗剂 常用的为异搏停。主要用于室上性心律失常。这类药物阻滞心肌细胞膜的慢通道,抑制Ca2+通过细胞膜流入细胞内。因此能延长房室传导和减慢窦性心律。
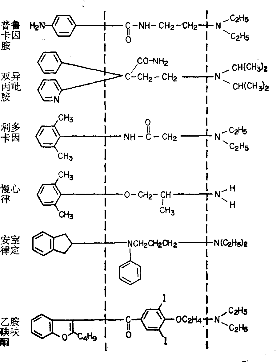
在四类抗心律失常药物中,β阻断剂和钙拮抗剂都有其特异性,另有条目(见“肾上腺素β受体阻断剂”、“钙拮抗剂”条)描述。非特异性抗心律失常药的化学结构是多样的,立体结构专一性不强,可能不是作用于特异受体,一般认为是通过物理化学过程,降低细胞膜对Na+、K+等离子的通透性,从而改变电生理特性而产生抗心律失常作用。这些药物通常脂溶性较高,pKa值在8~9之间。它们的化学结构一般由三部分组成: 有苯环或稠环组成的芳香核;一个能形成氢键的酯、醚、酰胺或羟基和一个碱性的氨基(图)。氨基在生理pH条件下可形成一个阳离子,在心肌细胞膜的表面阻碍离子的转运,降低膜对离子的通透性。芳香环脂溶性较高,使药物易溶于细胞膜中,酯、醚、酰胺或羟基形成氢键与细胞膜牢固接触而发挥其抗心律失常作用。


主要非特异性抗心律失常药的化学结构


抗心律失常药的治疗指数低,个体差别大,容易引起中毒反应。多数药物的疗效与血药水平呈正相关。血药浓度受患者病理过程的影响,如心、肝、肾功能及其他一些因素,致使治疗量所达到的血药水平有很大的个体差异。为了提高疗效,减少毒副反应,必要时需监测血药浓度。应根据不同药物的药代动力学特点,制定合理的用药方案。常用抗心律失常药物的主要药代动力学参数见下表。

抗心律失常药的药代动力学作用

药物吸收程度
(剂量%)
生物利用度
(剂量%)
有效血浓度
(μg/ml)
分布容量
(L/kg)
蛋白结合
%
半寿期
(小时)
尿中原形药
(剂量%)
奎尼丁
普鲁卡因胺
利多卡因
苯妥英钠
双异丙吡胺
心得安
慢心律
安宝卡因
异搏停
乙胺碘呋酮
>95
>90

100
80~100
>90

100
>95
22~80
65~100
75~90

98
60
30
88
100
10~22
22~80
2.3~5.0
4~8
1.5~6
10~20
2~4
0.05~1.0
0.5~2
6~12
0.15~0.3
1~2
3.0
2.2
1.1
0.5~0.8
3.0~5.7
3.6
2.9~5.7
1.6
4.2~5.5
6.8~21.1
80~90
15
40~80
86~96
5~65
93
70
50
20~30
-
6~7
2.5~4.7
1~2
8~60
6~10
3~6
6~11
10~30
3~7
11~20
10~27
50~60
3~11
<5
52
<1
<10
<1
70
0
☚ 黄夹甙   奎尼丁 ☛

抗心律失常药

anti-arrhythmic

随便看

 

文网收录3541549条中英文词条,其功能与新华字典、现代汉语词典、牛津高阶英汉词典等各类中英文词典类似,基本涵盖了全部常用中英文字词句的读音、释义及用法,是语言学习和写作的有利工具。

 

Copyright © 2004-2024 Ctoth.com All Rights Reserved
京ICP备2021023879号 更新时间:2026/5/17 13:38:22