| 释义 |
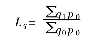
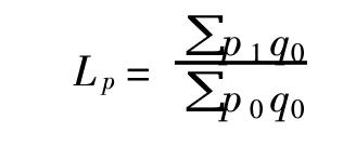
拉氏指数Laspeyres Index见“拉斯贝尔斯指数”。 拉氏指数又称“拉斯贝尔指数”、“拉斯贝耶斯指数”、“拉斯派雷斯指数”。以基期某种经济指标作为同度量加权因素计算的综合指数。1864年由德国经济学家拉斯贝尔(Laspeyres, Ernst Louis Etienne, 1834—1913)提出。分为拉氏数量指数和拉氏质量指数。 拉氏数量指数是用于计算经济指标总体规模变动情况的一种指数,如计算商品销售量指数、工业产品产量指数、职工人数指数等。以商品销售量变动情况为例,拉氏数量指数的计算公式为:  式中Lq为拉氏数量指数,q0为基期商品销售量,q1为报告期商品销售量,p0为基期商品价格,∑为各种商品销售额的加总符号。这里的计算是用基期商品价格p0作为分子和分母的同度量加权因素,假定商品价格在报告期与基期没有变动,从而可以反映出商品销售量的数量变化。 拉氏质量指数是用于计算经济指标总体内涵量变动情况的一种指数,如计算价格指数、工资水平指数、成本指数等。以拉氏价格指数为例,计算公式为: 式中Lp为拉氏价格指数,q0为基期商品销售量,p0和p1分别为基期和报告期的价格。这里的计算是用基期商品销售量q0作为分子和分母的同度量加权因素,假定商品销售量在报告期与基期没有变动,从而可以反映出商品价格的变化情况。这个公式应用比较普遍。在实际工作中,拉氏价格指数有利于连续编制价格指数,便于把环比指数换算为定基指数。在我国,消费者物价指数就是根据拉氏指数计算出来的。但是,拉氏指数也受到越来越多的批评,有人认为它会导致对价格变动的高估。 |