网站首页  词典首页

请输入您要查询的字词:

 

字词 无环鸟苷
类别 中英文字词句释义及详细解析
释义

无环鸟苷acyclovir

系一种广谱高效抗病毒药。对疱疹病毒Ⅰ型的活性比阿糖胞苷强160倍,比碘甘强10倍;对疱疹病毒Ⅱ型、巨细胞病毒、EB病毒也有抑制作用。临床上用于单纯疱疹、带状疱疹、疱疹性角膜炎。用0.1%滴眼剂、3%霜剂。用本品可引起局部刺激,发红、瘙痒、脱皮等。药物可闭光保存。

无环鸟苷

无环鸟苷


无环鸟苷(ACV,acyclovir; ACG,acycloguanosine,zovirax),是1977年合成的抗疱疹病毒化合物,外用治疗疱疹病毒角膜炎,皮肤疱疹,生殖器疱疹、水痘-带状疱疹,静脉点滴或口服治疗全身性单纯疱疹感染疱疹性脑炎和水痘带状疱疹。
无环鸟苷可视作鸟嘌呤核苷的类似物,25℃水中溶解度1.3mg/ml,在二甲亚砜中溶解度大,稳定。
无环鸟苷在组织培养内对单纯疱疹病毒Ⅰ 、Ⅱ型和水痘-带状疱疹病毒有抑制作用,活性较碘苷、阿糖腺苷强,对细胞毒性小,对单纯疱疹病毒的治疗指数可达2000~3000,对E-B病毒和巨细胞病毒需较高浓度始能抑制。不同株单纯疱疹病毒对无环鸟苷敏感性不同,人群中有耐无环鸟苷的病毒株。无环鸟苷外用治疗家兔疱疹病毒角膜炎、豚鼠和小鼠疱疹病毒Ⅰ 、Ⅱ型皮肤和阴道感染有显著效果,注射或口服对小鼠全身性疱疹和疱疹性脑炎所致死亡有效。
无环鸟环抗疱疹病毒机理是在病毒感染细胞内选择性地被单纯疱疹病毒特异的胸苷激酶磷酸化,成为无环鸟苷单磷酸,再在细胞内被磷酸化为二磷酸和三磷酸化合物。后者抑制单纯疱疹病毒DNA多聚酶,抑制病毒DNA的合成和病毒的复制。无环鸟苷对疱疹病毒的抑制作用选择性强。对无环鸟苷耐受的疱疹病毒株缺乏胸苷激酶,不能磷酸化无环鸟苷,故对无环鸟苷不敏感。
无环鸟苷对动物毒性小,3%制剂涂眼和皮肤、粘膜未见毒性,口服吸收慢而不完全。口服后2~4小时血浆浓度达高峰,血液中半寿期为2~3小时。药物主要以原形自尿排出。
临床用3%无环鸟苷眼膏治疗单纯疱疹角膜炎,3%无环鸟苷二甲亚砜霜剂治疗皮肤粘膜疱疹或带状疱疹,效果优于5%无环鸟苷聚己二醇霜剂。静脉注射或口服治疗疱疹病毒、带状疱疹病毒全身感染效果好,但不能阻断潜伏或控制复发。局部用药时毒副作用小,静脉注射大剂量对肾功能不全病人可引起不良反应。
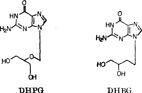
无环鸟苷类似物:二羟基丙氧甲基鸟苷(DHPG)和二羟基丁基鸟苷(DHBG)均抑制疱疹病毒。抗病毒作用机理与无环鸟苷相似。二羟基丙氧甲基鸟苷对巨细胞病毒和假狂犬病毒的抑制作用比无环鸟苷强,对水痘带状疱疹病毒作用弱,水溶性比无环鸟苷好,23℃溶解5mg/ml,动物体内效果优于无环鸟苷。此两种无环鸟苷类似物尚未临床应用,正在研究中。

☚ 三氮唑核苷   环胞苷 ☛
00005669
随便看

 

文网收录3541549条中英文词条,其功能与新华字典、现代汉语词典、牛津高阶英汉词典等各类中英文词典类似,基本涵盖了全部常用中英文字词句的读音、释义及用法,是语言学习和写作的有利工具。

 

Copyright © 2004-2024 Ctoth.com All Rights Reserved
京ICP备2021023879号 更新时间:2025/10/17 23:03:46