的积分,汉语词典,新华字典,字典在线查询">

网站首页  词典首页

请输入您要查询的字词:

 

字词 无理函数的积分
类别 中英文字词句释义及详细解析
释义
无理函数的积分

无理函数的积分wuli hanshu R,x,de jifen)

是关于x,的有理函数,n是大于1的自然数,为了求积分于是

等式右端是t的有理函数的积分,从而可表为初等函数.
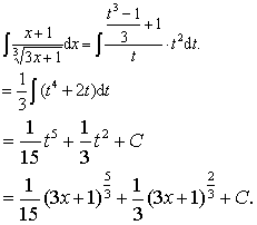
例 求
解 设则dx =t2dt. 于是

☚ 三角函数有理式的积分   的积分">无理函数的积分 ☛
00013552
随便看

 

文网收录3541549条中英文词条,其功能与新华字典、现代汉语词典、牛津高阶英汉词典等各类中英文词典类似,基本涵盖了全部常用中英文字词句的读音、释义及用法,是语言学习和写作的有利工具。

 

Copyright © 2004-2024 Ctoth.com All Rights Reserved
京ICP备2021023879号 更新时间:2025/10/18 10:30:31