释义 |
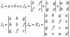
普遍二次曲面不变量的完全系统 普遍二次曲面不变量的完全系统pubian erci qumianbubianliang de wanquan xitong对于普遍二次曲面F (x,y,z)≡ax2 +by2 + cz2 + 2fyz+ 2gzx + 2hxy+2ux+2vy+2wz+d=0 (a2+b2+c2+f2+g2+h2≠0)有 
是移轴和转轴下的不变量. 
和 
是转轴下的不变量. 且当矩阵A=  的秩是1时,K1是移轴下的不变量;秩是2时,K 2是移轴下的不变量.I 1,I 2,I 3和I 4叫做普遍二次曲面F (x,y,z)=0的基本不变量,K 1和K 2叫做条件不变量或半不变量.这六个不变量组成普遍二次曲面不变量的完全系统.利用它们可以完全确定曲面的形状,但不能确定曲面的位置.普遍二次曲面F (x,y,z)=0所表示的轨迹可用I 1,I 2,I 3,I 4,=K 3及K 1,K 2判别如下表: 型的检验 | 判 别 标 志 | 曲 面名 称 | 中心型 I3≠0 | I2>0 I1·I3>0 | K3<0 | ❶椭圆面 | K3>0 | ❷无实轨迹 (虚椭圆面) | K3=0 | ❸点 (虚锥面) | I2≤0 或I1·I3≤0 | K3>0 | ❹单叶双曲面 | K3<0 | ❺双叶双曲面 | K3=0 | ❻二次锥面 | 第一类无心型 I3=0,K3≠0 | I2>0 (或K3<0) | ❼椭圆抛物面 | I2<0 (或K3>0) | ❽双曲抛物面 | 第一类多心型 I3=0,K3=0, I2≠0 | I2>0 | I1·K2<0 | ❾椭圆柱面 | I1·K2>0 | ❿无实轨迹 (虚椭圆柱面) | K2=0 | (11)直线 (一对相交虚平面) | I2<0 | K2≠0 | (12)双曲柱面 | K2=0 | (13)一对相交平面 | 第二类无心型 I3=0, K3=0 I2=0, K2≠0 | | | (14)抛物柱面 | 第二类多心型 I3=0,K3=0 I2=0, K2=0 | | K1<0 | (15)一对平行平面 | K1>0 | (16)无实轨迹 (一对平行虚平面) | K1=0 | (17)一对重合平面 |
☚ 普遍二次曲面的主方向 仿射坐标系 ☛ 00013388 |