| 释义 |
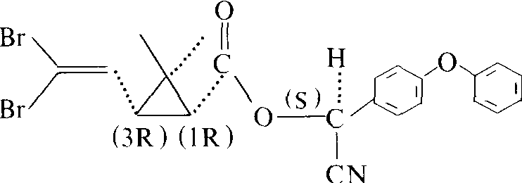
有效成分active ingredient农药产品中具有生物活性的特定化学结构成分。有效成分含量是农药产品标准中最重要的质量指标,以质量百分数(m/m)、克/千克或克/升表示,其含量测定方法亦是农药标准中的 一部分。 生物活性系指对昆虫、螨、病菌、鼠、杂草等有害生物的行为、生长、发育和生理生化机制的干扰、破坏、杀伤作用,还包括对动、植物生长发育的调节作用。 有生物活性的物质都是具有特定化学结构的化合物,某一特定化学结构分子中不同异构体的生物活性是不相同的。如滴滴涕分子中,有对、对滴滴涕和邻、对滴滴涕两个结构异构体,前者含量约70%,是杀虫有效成分; 久效磷由于分子中双键上各基团的空间排列不同,而有顺式和反式两个几何异构体,其有效成分是含量约70~ 73%的顺式异构体; 氰戊菊酯分子中酸部分和醇部分各有 一个手性碳原子,是四种光学异构消旋体的混合物,其生物活性成分主要是S(+)酸-S(一)醇的酯部分——来福灵;溴氰菊酯的结构式:  有3个手性碳原子,共有8个光学异构体(见表),溴氰
溴氰菊酯及其异构体的生物活性 | 构象C1 | 构象C3 | 构象苄基C(α) | 杀 虫 活 性 | R R | R S | R R | 0 0 | R R | R S | S S | +++++ 溴氰菊酯 ++++ | S S S S | R S R S | R R S S | 0 0 0 0 |
注: 0为无杀虫活性,+为有杀虫活性菊酯是1R,3R,x(S)的单一异构体,具有最大杀虫活性。 |