| 释义 |
有机合成农药synthetic organic pesticides由人工研制合成,并由有机化学工业生产的一类农药。其中有些是以天然产品中的活性物质作为母体,进行仿制、结构改造、创新而成的,这叫做仿生合成农药。 它们主要按其分子结构被分为有机氯类、有机磷类、氨基甲酸酯类、拟除虫菊酯类、取代脲类、三唑类、苯氧乙酸类等,但在实际应用中也常按其功能或作用对象分为杀虫剂、杀菌剂、除草剂、植物生长调节剂。昆虫性引诱剂等等。它们都是人工合成的化合物,结构复杂,品种繁多(常用的约300种),是现代农药中的主体。它们的应用范围广,很多品种的药效很高,而且由于它们的主要原料为石油化工产品,资源丰富,产量很大。 简史 大体可以分为三个阶段,20世纪50年代中期以前为开创时期,50年代后期到60年代末为发展时期,70年代以后为高效化时期。 开创时期 在这期间取得了不少奠基性和开创性成果。各类有机合成农药如有机氯类、有机磷类、有机硫类、拟除虫菊酯类先后出现,开创了各自的领域。1912年,林登(Van der Linden)发现六氯环己烷为α、β、γ及δ四个异构体所组成,这是农药大品种六六六的奠基性成果。1929年,第一个合成有机杀虫剂丁氧硫氰醚(Lethane-384)成为农药商品。1934年,科格尔(F.Kogl)发现了第一个天然植物生长刺激素吲哚乙酸,开辟了植物生长调节剂的农药新领域。1936年,五氯酚钠被用作防治真菌和白蚁的木材防腐剂。1938年,施拉德(Gerhard Schrader)合成了TEPP(四乙基焦磷酸酯)并发现它有优良的杀虫性能。1939年,缪勒(Paul Muller)确定了滴滴涕的杀虫活性。1941年,法国发现六氯环己烷的杀虫性能,并证明其中的γ-体为有效体,这就成为此后大量生产六六六的依据。1942年,第一个合成有机除草剂2,4一滴出现,开辟了化学除草的新领域。1943年代森锌作为第一个合成有机杀菌剂供应市场。1944年,第一个实用抗凝血杀鼠剂杀鼠灵(warfarin)问世。1949年,谢克特(M.S.Schechter)合成了第一个拟除虫菊酯丙烯菊酯。1953年,第一个氨基甲酸酯农药,甲萘威,由美国联合碳化物公司研制成功。 发展时期 50年代后期到60年代末,由于社会需求和技术进步,有机合成农药进入一个空前繁荣的大发展时期,为农业生产提供了各种杀虫剂、杀螨剂、杀线虫剂、杀菌剂、除草剂、杀软体动物剂、杀鼠剂、增效剂等,对危害农作物及其产品的各种病、虫、草现在基本上都有可用的农药。此外,还有能起生长调节作用的植物生长调节剂和能控制昆虫行为的引诱剂、驱避剂、拒食剂等。世界各国已形成了相当规模的农药合成工业。最大的合成农药生产国美国,1965年的年产量已达45万吨。 高效化时期(70年代~) 高效化是这一时期有机合成农药的主要特点。约于70年开始在各类农药中均出现了一些高效的类型与品种,如拟除虫菊酯和苯甲酰脲类杀虫剂(如氯菊酯、氰戊菊酯、溴氰菊酯、醚菊酯和除虫脲、噻嗪酮等),三唑类杀菌剂(如三唑酮、三唑醇等),苯氧丙酸类和磺酰脲类除草剂(如禾草灵、吡氟乙草灵和氯磺隆、甲磺隆、阔叶净等)等,与前一时期的药剂(每公顷用量约1~2千克有效成分),它们的药效大为提高,每公顷用量下降到150克,甚至15克以下。在杀鼠剂和植物生长调节中亦有类似的情况,如大隆、溴敌隆(毒饵使用浓度0.005%)等第二代抗凝血杀鼠剂不仅杀鼠的活性远高于第一代抗凝血杀鼠剂(毒饵使用浓度0.025%),而且对那些已对第一代抗凝血杀鼠剂产生抗性的鼠亦有效。多效唑、芸薹素内酯等则是植物生长调节剂中的高效药剂,后者在极低(10-5~10-6毫克/升)的用量下,便对植物显示活性。另一特点是:随着环境保护日益受到人们的重视、农药的管理及登记日趋严格,致使新农药品种的出现速度滞缓,部分老品种(如六六六、滴滴涕等)因毒性或污染环境的原因而遭到禁用。 与日俱增的农药生产与使用,对农业起了明显的增产作用。据估计,农药的使用可挽回15~ 30%的农作物损失,若进一步改进农药的质量与使用方法,还有10~20%的潜力。除对农作物的保护外,农药还改变了某些传统的作物栽培技术和耕作制度,例如,植物生长调节剂的使用,解决了原栽培技术中解决不了的矮化等问题; 依靠化学除草剂的免耕法节约了机耕时能源消耗的80%。此外,有机合成农药中约有1/5~ 1/4的量用于卫生防疫、森林、园林、工业设施、铁路等的保护。它们对人类健康及社会建设也在起着保护作用。 研制过程 各种有机合成农药的出现,是创造性研制的结果。研制过程一般为依据发现了的活性结构或其他线索,大量合成新化合物进行筛选,但各有其独特的道路。 有机磷农药的发展道路比较平坦顺利。1938年施拉德合成了TEPP,并证明它对人及昆虫都有很高的毒性。十多年之后,多种有机磷农药已成为商品,形成了农药中的一个大类。其活性结构的线索是磷酸酯基团(图1),即TEPP分子中虚线方框中的部分。在 
图1 有机磷农药活性结构的磷酸酯基团 这个线索的指引下,合成了成千上万个具有活性结构的磷酸酯类化合物,前后共推出了110个品种,至1983年仍有70种在使用。在这些品种中,主要是杀虫剂,但也有杀螨剂、杀线虫剂、杀菌剂、除草剂和杀鼠剂等。拟除虫菊酯类农药的发展则经历了50年的曲折过程。1924年确定天然除虫菊素的分子结构后,过了25年才合成了第一个拟除虫菊酯,丙烯菊酯(图2)。
图2 除虫菊素和丙烯菊酯结构式 它保留了菊酸部分的分子结构,仅对原分子中醇部分的侧链R2作了简化改造(丙烯菊酯分子结构式中虚线方框部分)。又过了20年(1968年)出现了胺菊酯(图3)等几种药效高、合成方法简便的拟除虫菊酯。在分子结构中对醇部分有了较大的改变。但它们与除虫菊素,丙烯菊酯的共同缺点是对光都缺乏稳定性而不能作农药使用。此后发现,用卤原子取代菊酸部分的两个甲基后,整个分子的光稳定性大大提高,把醇分子部分
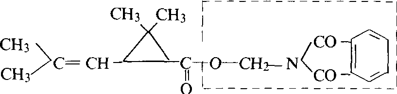
图3 胺菊酯结构式 进一步改变为二苯醚,又引入一个氰基,之后,这种菊酯的药效又提高了几倍。在1973年后,陆续出现了氯菊酯、溴氰菊酯及氰戊菊酯等多种光稳定菊酯(图4),而成为有机合成农药中的一个大类。可以注意到,
图4 几种光稳定性菊酯的分子结构式 上述品种的分子结构中都有除虫菊素分子中的活性结构部分(图2除虫菊素分子结构式中的虚线方框内),唯一的例外是氰戊菊酯。但是如果把它分子中酸部分(图4虚线框内)的苯环切去2/3,并写成下列一个式子(图5a),再把菊酸分子中环丙烷结构的一边切开(图5b)进行比较,可以看出两者仍具有一个共同结构。
图5 氰戊菊酯酸部分与菊酸分子结构的比较 遵循这条路线来探索也有失败,例如,烟碱和鱼藤酮,在它们的分子结构分别于1893年和1932年被确定之后,对这两种天然杀虫剂也进行了类似的合成及筛选工作,但并未得到满意的结果。 发展趋势 大致有三方面的趋势: ❶增加新品种。农药品种,总是在不断的更新之中。一些老品种,如六六六、汞制剂等早已废弃不用,近来又有杀虫脒等被淘汰。迄今仍有一些病虫害,如病毒病,需要新农药品种来防治。当前社会对防止环境污染等的要求,能控制昆虫行为而不是毒杀昆虫的昆虫性引诱剂、昆虫激素、拒食剂等,正在发展成为农药的新领域。 ❷提高质量。由低纯度的粗制品向精细化工品方向发展。对农药除要求低残毒外,还要求高纯度与低用量(即高药效)以减少农药中的有害杂质或无效体进入环境。如溴氰菊酯,是单一的、光活性的立体异构体,它比一般拟除虫菊酯的药效高四倍,比有机磷杀虫剂的药效高近百倍。 ❸更新筛选方法。创制新农药品种的经验筛选方法的缺陷日益明显,成功率正在下降。据1977年估计,1.2万个新化合物中才能筛选、开发成功一个新农药品种。农药化学家们现在已开始探索更有效的方法,即在生物化学、物理化学、计算机的协助下,研究出活性物质的分子结构与生物活性的关系(QSAR)来指导合成,使QSAR不再是已知事实的归纳与解释,而是提出可指明探索方向的依据(见结构—活性定量相关性)。 |