网站首页  词典首页

请输入您要查询的字词:

 

字词 有理函数的不定积分
类别 中英文字词句释义及详细解析
释义
有理函数的不定积分

有理函数的不定积分youlihanshu de budingjffen

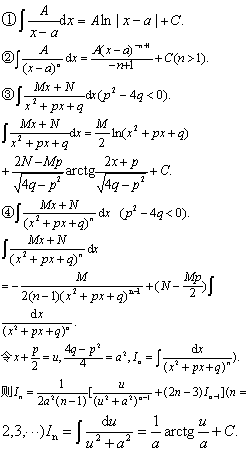
借助多项式除法可将有理函数的不定积分化为多项式的不定积分和真分式的不定积分,而将真分式分解为部分分式后,其不定积分可以化为下列四类分式的不定积分

由于以上四类不定积分都可求出,并且表成初等函数,所以,一切有理函数的不定积分都可以表示成初等函数,这些初等函数仅包含多项式,真分式、对数函数和反正切函数。

☚ 分部积分法   三角函数有理式的积分 ☛
00013550
随便看

 

文网收录3541549条中英文词条,其功能与新华字典、现代汉语词典、牛津高阶英汉词典等各类中英文词典类似,基本涵盖了全部常用中英文字词句的读音、释义及用法,是语言学习和写作的有利工具。

 

Copyright © 2004-2024 Ctoth.com All Rights Reserved
京ICP备2021023879号 更新时间:2026/4/18 12:46:58