久期
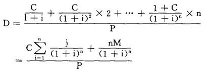
久期是在研究附息票债券时由Macaulay提出的概念,它比债券的到期日更为准确地刻画了债券的时间特性。 具体说来,它把附息票债券根据到期日的不同看做一系列零息票债券,根据一定的折现率,计算出每一种零息票债券的现值和债券的总现值,再计算出每一种零息票债券的现值占债券的总现值的比重,并用这一比重作为权重,对零息票债券的到期日进行加权平均,结果即为附息票债券的久期。 假定有一种附息票债券,期限为n期,每期支付利息为C,债券的折现率为i,用D表示债券的久期,P表示债券的总现值,M表示债券的面值。计算公式为: 
|