| 释义 |
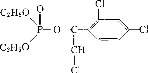
杀螟威又称毒虫畏。化学名称:O,O,-二乙基2-氯-1(2,5-二氯苯基)乙烯基磷酸酯。化学结构式如下。工业品为琥珀色油状液体,沸点156~158℃/33.33 Pa,密 度(d420) 1.5392,折光率(nd20)1.53。是毒杀畏(又称 Chlorfenvinphos 或Birlane)的异构体,后者毒性较大,苯环上的氯在2,4位置。杀螟威有较强的触杀和胃毒作用,可以用来防治水稻螟虫、各种蚜虫、粘虫、玉米螟及果树害虫。对大鼠口服LD50为56 mg/kg(毒杀畏是10~39 mg/kg)。 
|