乐咳平[中]
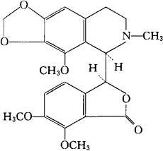
C22H23NO7=413.43 CAS-128-62-1 6,7-二甲氧-3-(5,6,7,8-四氢-4-甲氧-6-甲基-1,3-二氧杂环戊烯并[4,5-g]异喹啉-5-基)-1(3H)-异苯并呋喃酮。 6,7-Dimethoxy-3-(5,6,7,8-tetrahydzo-4-methoxy-6-methyl-1,3-dioxolo[4,5-g]isoguinolin-5-yl)-1(3H)isobenzofuranone. 镇咳药。用于干咳。 那可汀,诺斯卡品。 Narcotine,Tusscapine,Noscapine. 乐咳平片,乐咳平干糖浆。 INN,BAN,BP,DCF,EP,FP,JP,NFN,USAN,USP,MI.  |