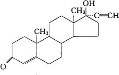
乙炔睾丸酮[中]
C21H28O2=312.46 CAS-434-03-7 17-乙炔基-17β-羟基雄甾-4-烯-3-酮。 17-Ethynyl-17β-hydroxyandrost-4-en-3-one. 孕激素类药。用于子宫功能性出血及月经过多、先兆性和习惯性流产。 妊娠素,炔孕酮。 Ethisterone,Pranone,Progestoral,Syngestrotabs,Progesoral,Pregneninolone. 乙炔睾丸酮片(妊娠素片)。 INN,BP,DCF,DCIT,FP,IP,JP,NFN,NF,PH,USAN,USP,USSRP,MI.  |