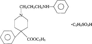
乙磺酸去痛定[中]
C23H30N2O2·C2H6O3S=476.63 CAS-7081-52-9 1-[3-苯胺基丙基]-4-苯基哌啶-4-羧酸乙酯单乙烷磺酸盐。 4-Phenyl 1-[3-(phenylamino)propyl]-piperidine-4-carboxylic acid ethyl ester,monoethanesulfonate. 镇痛药。 乙磺酸匹米诺定。 Piminodine Esylate,Priminodine Esylate,Piminodine,Ethanesulfonate,Alvodine Ethanesulfonate. 去痛定注射液。 NF,USAN,MI.  |