柱晶白霉素与交沙霉素

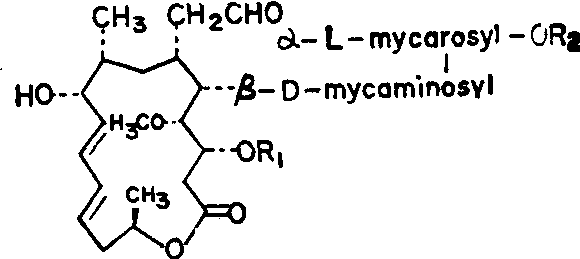
| | R1 | R2 |
柱晶白霉素A1 柱晶白霉素A3 (即交沙霉素) | H COCH3 | COCH2CH(CH3)2 同上 |
柱晶白霉素A4 A5 A6 A7 A8 A9 | 同上 H COCH3 H COCH3 H | COCH2CH2CH3 同上 COCH2CH3 同上 COCH3 同上 |
柱晶白霉素(leucomycin) 是Str.kitasatoensis所产生的碱性十六元大环内酯抗生素。商品为以柱晶白霉素A1或A5为主的A1、A3、A4、A5、A6、A7等的混合物。难溶于水,易溶于有机溶剂。供静脉注射的柱晶白霉素酒石酸盐易溶于水。
本品对革兰阳性细菌如金黄色葡萄球菌、溶血性链球菌、炭疽杆菌、破伤风杆菌、白喉杆菌等有很强的抗菌作用,对钩端螺旋体、立克次体、沙眼衣原体等也有相当作用。对革兰阳性球菌的作用较红霉素略差,但较竹桃霉素和螺旋霉素强。其作用机理与红霉素相同,本品不易诱导细菌产生耐药性,属于“非诱导型”大环内酯。
本品口服吸收良好,主要自胆汁中排出。毒性低,副作用主要为胃肠道反应,偶见皮疹。
柱晶白霉素临床适应证与红霉素相同。大多数对红霉素耐药的金黄色葡萄球菌对本品仍敏感。故可用于耐红霉素金黄色葡萄球菌的感染。
成人口服量每日1.5g,分3~4次服。静脉注射用酒石酸盐。成人剂量为每日8~12小时缓慢注入200~400mg。
交沙霉素 (josamycin) 是由Str. narbonensis var.josamyceticus所产生。它与柱晶白霉素A3为同一物质。
交沙霉素抗菌谱与红霉素类似,但抗菌活性略低。细菌对交沙霉素与红霉素的交叉耐药程度甚微,对红霉素耐药的葡萄球菌中90%对本品仍敏感。与麦迪霉素相同,不易使细菌产生诱导耐药,属于“非诱导型”大环内酯。
交沙霉素可用于治疗呼吸系统感染,如急慢性支气管炎、肺炎、扁桃体炎、猩红热、脓皮病、手术后感染等,有很好疗效,亦可用于尿路感染等。本品毒性小,副作用发生率低,主要为胃肠道反应。
口服: 成人每日0.8~1.2g,分3~4次服。