网站首页  词典首页

请输入您要查询的字词:

 

字词 标准化率
类别 中英文字词句释义及详细解析
释义

标准化率

又称“调整率”。按某一标准构成进行校正后的比率。比较两个或多个率时,如果资料内部构成明显不同,首先须人为地选一“标准”对率进行标准化,以消除资料内部构成(如年龄、性别等)差异的影响,进而进行合理比较。标准化率的高低随所选标准而异,只有相对的意义而不反映实际水平。标准化法有直接法和间接法。

标准化率

标准化率

标准化率简称标化率,亦称调整率,就是将所比较资料之构成,按选定的“标准”调整后算得的率。调整的目的在于统一内部构成,使资料间具有可比性。常用于内部构成不同的两个或多个率的比较。如对比两地某病死亡率,而两地人群之年龄、性别构成不同,须比较其标准化率。利用标准化原理,还可计算标准化死亡比(或发病比)等指标,用于一种特殊人群与标准人群某病死亡率的比较。标准化率的计算方法有直接法、间接法和反推法三种,现以人口死亡率为例说明其基本步骤如下:
(1) 根据现有数据选用适当方法。

被标化组数据
年龄别死亡率
标准组数据
年龄别人口数或人口年龄
别构成比
选用方法
直接法
年龄别人口数与死亡总数
年龄别死亡数与人口总数
年龄别死亡率与总死亡率
年龄别死亡率与总死亡率
间接法
反推法

(2) 选定标准。标准组应选择有代表性的、较稳定的、数量较大的人群,如世界的、全国的、全省的、全地区的或本单位历年积累的数据,时间最好与被标化资料一致或接近。也可以用相互比较的人群本身作标准,如两组比较时取其合并数据,或选其中之一。
(3)将有关数据代入相应的公式,计算标准化死亡率。表1为计算标准化率需用数据的符号,表下为三种方法计算标准化死亡率的公式。

表1 计算标准化率的数据符号

年龄组被标化组标 准 组
人口数死亡数人口数死亡数
1
2
3
n1
n2
n3
r1
r2
r3
p1
p2
p3
N1
N2
N3
R1
R2
R3
P1
P2
P3
 ⋮ ⋮ ⋮ ⋮ ⋮ ⋮ ⋮
iniripiNiRiPi
 ⋮ ⋮ ⋮ ⋮ ⋮ ⋮ ⋮
knkrkpkNkRkPk
合计nrpNRP


在一般情况下,直接法与间接法计算结果接近。直接法计算简便,易于理解,更为常用;如果原资料中有些年龄组的人口过少,致使年龄别死亡率波动较大时,则宜用间接法。关于所得标准化率的抽样误差,以间接法最小。而反推法由于不如其他二法精确,计算又较繁,只有当资料不足,不能用前二法时方采用。同一资料用不同方法标准化,所得标准化率的数值不同,但对比时的分析结论大多是一致的。同一资料,按不同的标准组用同一方法计算,所得标准化率也有所不同,但对比时的分析结论大多也仍是一致的。
标准化率多应用在人口死亡率、某病死亡率、发病率、患病率等的比较方面。此外,也可用在比较二个或多个均数的标准化,如比较几种疗法对同一疾病的平均治愈天数,由于各组病例的病情(或病型、病程等)构成不同,须经标准化后方可对比。
例1 甲、乙两县的食管癌死亡率见表2。年龄越大,死亡率越高。检视50岁以上人口构成比,乙县明显大于甲县,故虽然在同年龄组内乙县的死亡率大多低于甲县,而总的死亡率却高于甲县。试用标准化率作比较。

表2 甲、乙两县的食管癌死亡率(1/10万)


甲 县
年龄
(岁)
(1)
人口数
ni
(2)
人口
构成比
ni/n
(3)
食管癌
死亡数
ri
(4)
食管癌
死亡率
pi
(5)
0~
30~
40~
50~
60~
70~
378977
63436
54910
41970
25060
10780
0.6589
0.1103
0.0955
0.0730
0.0436
0.0187
2
11
55
161
163
70
0.5
17.3
100.2
359.8
650.4
649.4
合计575133
(n)
1.0000452
(r)
78.6

乙 县
年龄
(岁)
(1)
人口数
ni
(6)
人口
构成比
ni/n
(7)
食管癌
死亡数
ri
(8)
食管癌
死亡率
pi
(9)
0~
30~
40~
50~
60~
70~
282762
39443
40488
33309
23167
14548
0.6520
0.0909
0.0934
0.0768
0.0534
0.0335
1
4
29
99
122
98
0.4
10.1
71.6
297.2
526.6
673.6
合计433717
(n)
1.0000353
(r)
81.4

若选定某地区的数据为标准,则标准组之人口数、人口构成比及食管癌死亡数、死亡率见表3。三种方法的计算如下。

表3 标准组人口及其食管癌死亡率(1/10万)


年龄(岁)
(1)
人口数
Ni
(2)
人口构成比
Ni/N
(3)
食管癌死亡数
Ri
(4)
食管癌死亡率
Pi
(5)
0~
30~
40~
50~
60~
70~
3970027
570014
548990
496011
354421
213529
0.6452
0.0926
0.0892
0.0806
0.0576
0.0347
20
55
413
1043
1648
1239
0.5
9.6
75.2
210.3
465.0
580.2
合计6152992
(N)
1.00004418
(R)
71.8
(P)

(1)直接法。按式(1),以表3第(2)栏Ni和表2第(5)栏p1各对应数据以及表3第(2)栏的合计N代入,得甲县的标准化率为


仿此,乙县为 p′= 85.2(1/10万)。
或按式(2),以表3第(3)栏(Ni/N)和表2第(5)栏pi各对应数据代入,得甲县的标准化率为
p′=0.6452×0.5+0.0926×17.3+…+0.0347×649.4=99.9(1/10万);
仿此,乙县为 p′=85.2(1/10万)。
按式(1)与式(2)计算结果相同。
(2)间接法。按式(3),以表2第(2)栏ni和表3第(5)栏Pi各对应数据以及表2第(4)栏的合计r、表3第(5)栏的合计P代入,得甲县的标化率为


仿此,乙县为 p′= 85.1(1/10万)。
(3)反推法。按式(4),以表2第(4)栏ri和表3第(5)栏Pi各对应数据以及表2第(2)栏的合计n、表3第(5)栏的合计P代入,得甲县的标准化率为


仿此,乙县为 p′=61.3(1/10万)。
三种方法所得标化死亡率(1/10万)的数值不等,分析结论则一致: 甲县比乙县高。

方法甲县乙县甲县/乙县(%)
直接法
间接法
反推法
(原死亡率)
99.9
102.5
88.2
(78.6)
85.2
85.1
61.3
(81.4)
117.3
120.4
143.9
(96.6)

用同一方法(直接法)按下述不同标准组计算,所得标准化死亡率(1/10万)的数值不等,分析结论也一致: 甲县比乙县高。

标准组甲县乙县甲县/乙县(%)
某地区(表3资料)
甲、乙两县合并
甲县
乙县
(原死亡率)
99.9
85.8
78.6
95.4
(78.6)
85.2
72.3
65.5
81.4
(81.4)
117.3
118.7
120.0
117.2
(96.6)

标准化死亡比和标准化死亡指数 标准化死亡比(SMR)和标准化死亡指数(CMI)的计算公式如下:


式中符号的涵意均同表1。在式(5)中,r为某特殊人群(或单位)的死亡人数,∑niPi为按某特殊人群(或单位)的各年龄组人口数与标准人群的年龄别死亡率乘积之和估计的预期死亡人数。标准人群一般选择该特殊人群所在地区同时间的、数量较大的人群。当SMR>1,表示被研究人群的死亡频度高于当地一般人群; 反之,SMR<1,表示被研究人群的死亡频度低于当地一般人群。式(6)是其反推法,不甚精确。式(7)中∑NiPi为按标准人群的各年龄组人口数与某特殊人群(或单位)的年龄别死亡率乘积之和估计的预期死亡人数,而R为标准人群的死亡人数。必要时可作假设检验,见条目“标准化死亡比的假设检验”。
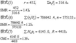
例2 以例1甲县为特殊人群,试计算其食管癌死亡的SMR和CMI。
仍以表3资料为标准人群,


结果均表明甲县因食管癌死亡的频度高于当地一般人群。
☚ 统计图   动态数列 ☛
00013153
随便看

 

文网收录3541549条中英文词条,其功能与新华字典、现代汉语词典、牛津高阶英汉词典等各类中英文词典类似,基本涵盖了全部常用中英文字词句的读音、释义及用法,是语言学习和写作的有利工具。

 

Copyright © 2004-2024 Ctoth.com All Rights Reserved
京ICP备2021023879号 更新时间:2026/4/18 16:42:11