又叫威他霉素(vistamycin),系由威他链丝菌所产生的一种氨基糖甙类抗生素。其硫酸盐为白色粉末,味微苦,易溶于水,水溶液pH为6.0~7.5,在pH2~8范围内放置48小时无效价损失。抗菌作用与卡那霉素相似,对葡萄球菌、链球菌、肺炎球菌、大肠杆菌、肺炎杆菌、部分变形杆菌有效;对结核杆菌、绿脓杆菌无效;细菌对本药与卡那霉素有交叉耐药性。临床上用于由敏感细菌引起的各种感染。本品为氨基糖甙类毒性最低者,对听觉、肾脏毒性小。肌注1日2次,1次0.5g。偶有皮疹、局部疼痛、头痛、转氨酶升高等。
核糖霉素

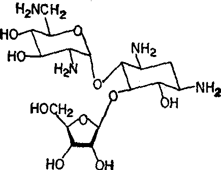
核糖霉素(ribostamycin)是Str. ribosidificus产生的抗生素。它是由新霉胺与D-核糖组成。核糖霉素硫酸盐系白色粉末,易溶于水,难溶于乙醇、丙酮、乙醚、氯仿与苯。水溶液稳定,煮沸半小时活性无损失。
核糖霉素的抗菌谱与卡那霉素相似,但抗菌作用较后者稍弱,对绿脓杆菌和肠杆菌作用差,对肺炎球菌和奈氏球菌的抗菌作用也很弱。核糖霉素对结核杆菌的最低抑菌浓度为25~50μg/ml,远较链霉素、卡那霉素为弱。细菌对核糖霉素与卡那霉素之间有交叉耐药性。
核糖霉素口服吸收不好。
肌内注射核糖霉素后,半小时血浓度到达高峰,血中最高浓度可达27μg/ml,有效血浓度维持6~8小时。半寿期为1~2小时。核糖霉素在尿中排泄率较高,约70~90%的给药量自尿中排出体外。
核糖霉素可进入各组织中,也有一定量进入眼房水中。核糖霉素肌内注射,脐静脉中的药物浓度约为母血浓度之半。本品也可渗入羊水和乳汁中。
核糖霉素的主要优点是毒性较卡那霉素及其它氨基糖甙抗生素为低,特别是对听神经的毒性较小,其他副作用的发生率也较卡那霉素为低。比较多见者为皮疹,偶有肌注处疼痛、转氨酶轻度升高等。
临床用于治疗急性尿路感染、呼吸道感染、肠道感染、盆腔感染、脓皮病、骨科感染、外科感染等。对慢性尿路感染的疗效较差。
用量: 成人肌内注射每日1g(0.5~2.0g),分二次注射。