正则连分数zhengze lianfenshu
有限连分数


都叫做正则连分数.其中a
0是非负整数,n∈N时,a
n∈N.
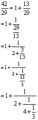
任一个有限正则连分数,只要从最下面开始逐步化简,总能化成一个正有理分数p/q(p,q ∈N).故知有限正则连分数表示一个正有理分数.反之,任何一个正有理分数总可通过辗转相除的方法化为一个有限连分数,例如

自然数k亦可看成(k-1)+1/1.
对于无限正则连分数,不难用数学归纳法证出它的各个渐近分数p
n/q
n满足关系式:n≥2时
| pn=anpn-1+pn-2, qn=an·qn-1+qn-2 |
| 其中q0=1,p0=a0,q1=a1,p1=a0a1+1 |


由于任a
n>0,q
nq
n-
2>0,故知数列{p
n/q
n}中,n=2k-1(k∈N)之项递减,而n=2k-2(k∈N)之项递增.又




于是根据区间套定理知:

p
n/q
n存在,即正则连分数一定收敛.由于有理数必能化成有限正则连分数,故无限正则连分数之值必是无理数.例如

可以证明:无限正则连分数的各个渐近分数中,n越大的与连分数的真值之差距越小.一般把初项a
0叫做这个连分数的一阶渐近分数,p
n/q
n就相应地叫做第n+1阶渐近分数.
还可以证明:无限正则连分数的任一渐近分数p
n/q
n,在分母不超过q
n的一切有理即约分数中是最接近连分数真值的.