网站首页  词典首页

请输入您要查询的字词:

 

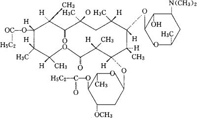
字词 二丙竹桃霉素
类别 中英文字词句释义及详细解析
释义 二丙竹桃霉素

C41H69NO14=799.99

CAS-14289-25-9

竹桃霉素-4′,11-二丙酸酯。

Oleandomycin 4′,11-dipropionate.

抗生素类药。

Diproleandomycim.

INN,DCF,USAN.

随便看

 

文网收录3541549条中英文词条,其功能与新华字典、现代汉语词典、牛津高阶英汉词典等各类中英文词典类似,基本涵盖了全部常用中英文字词句的读音、释义及用法,是语言学习和写作的有利工具。

 

Copyright © 2004-2024 Ctoth.com All Rights Reserved
京ICP备2021023879号 更新时间:2025/11/30 13:18:07