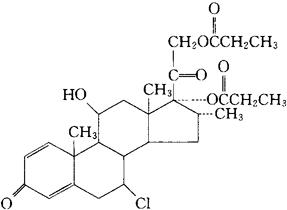
二丙酸阿氯米松
C28H37ClO7=521.05 CAS-66734-13-2 CAS-67452-97-5(alclometasone) 7-氯-11-羟基-16-甲基-17,21-双(1-氧丙氧基)-(7α,11β,16α)-孕甾-1,4-二烯-3,20-二酮。 Pregna-1,4-diene-3,20-dione,7-chloro-11-hydro xy16-methyl-17,21-bis(1-oxopropoxy)-,(7α,11β,16α)-. 7α-氯-11β,17,21-三羟基-16-甲基孕甾-1,4-二烯-3,20-二酮17,21-二丙酸酯。 7α-Chloro-11β,17,21-trihydroxy-16-methylpregna1,4-diene-3,20-dione 17,21-dipropionate. 肾上腺皮质激素类药。 二丙酸别氯地松。 Alclometasone Dipropionate,Aclovate,Vaderm,Sch22219,Delonal. INN & BAN(Alclometasone),USAN,USP. 
|