网站首页  词典首页

请输入您要查询的字词:

 

字词 二元一次方程组
类别 中英文字词句释义及详细解析
释义 二元一次方程组

含有两个未知数的两个一次方程所组成的一组方程,叫做二元一次方程组.

注意 1.方程组中每个方程都是一次方程.

2.整个方程组中含有两个未知数且只含有两个未知数.

比如:都是二元一次方程组.

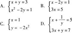
例 下列是二元一次方程组的有( ).

答 B.

[解析] A 中第二个方程是二次方程;

C 中第二个方程y=-2x2是二次方程;

D 中第一个方程x+1/y=5不是一次方程

随便看

 

文网收录3541549条中英文词条,其功能与新华字典、现代汉语词典、牛津高阶英汉词典等各类中英文词典类似,基本涵盖了全部常用中英文字词句的读音、释义及用法,是语言学习和写作的有利工具。

 

Copyright © 2004-2024 Ctoth.com All Rights Reserved
京ICP备2021023879号 更新时间:2025/12/11 10:33:34