二次函数
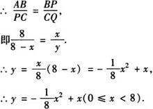
一般地,形如y=ax2+bx+c(a,b,c是常数,a≠0)的函数叫做x的二次函数. 注意 1.二次函数仅仅要求二次项系数a不为0,对一次项系数和常数项没有要求. 2.当a≠0,b=0,c=0时,二次函数为y=ax2. 3.当a≠0,b=0,c≠0时,二次函数为y=ax2+c. 4.当a≠0,b≠0,c=0时,二次函数为y=ax2+bx. 例1 下列函数哪些是二次函数  (3)y=a2x2+1(a为常数); (4)y=(a2+1)x2+1(a为常数);  (6)y=2-5x; (7)y=2(x-5)2+7; (8)y=3x3+7x2+5; (9)y=7-2x2; (10)y=3x2-5x. 答 (4)(5)(7)(9)(10). [解析] (1)中自变量x在分母中. (2)中自变量在根号里. (3)中a=0时,不是二次函数. (6)是一次函数. (8)中自变量的最大指数是3. 例2 若y=(n2-n)xn2+3n-2是关于x的二次函数,那么n的值为( ). A.-4或1 B.-4 C.1 D.2 答 B. [解析1 由题意可得  由❶ 得 n=-4或n=1, 由❷ 得 n≠0且n≠1. ∴n=-4故选B. 例3 下列说法正确的是( ). A.函数y=ax2的图象经过原点,是y关于x的二次函数 B.若y与x2成正比例,则y是x的二次函数 C.函数y=ax2+bx+c(a,b,c是常数)是二次函数 D.函数y=ax2(a>0)中,无论x为何值,y的值总是正数 答 B. [解析] A当a=0时,y不是x的二次函数. C当a=0时,y不是x的二次函数. D当x=0时,y=0,不是正数. 例4 正方形ABCD的边长为8cm,P在BC上,Q在CD上,AP⊥PQ,BP=xcm,CQ=ycm,求y与x的函数关系式.  解 ∵AP⊥PQ,∴∠APQ=90°, ∴∠APB=∠PQC. 又∵∠B=∠C=90°, ∴△ABP∽△PCQ,  |