网站首页  词典首页

请输入您要查询的字词:

 

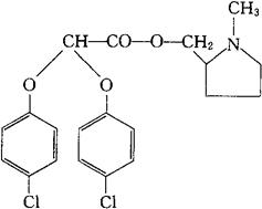
字词 二氯贝特
类别 中英文字词句释义及详细解析
释义 二氯贝特

C20H21Cl2NO4=410.30

CAS-54063-27-3

双(对-氯苯氧基)乙酸,1-甲基-2-吡咯烷基甲酯。

bis(p-Chlorophenoxy)-acetic acid,1-methyl-2-pyrrolidinylmethyl ester.

降血脂药。

Biclofibrate.

INN,DCF,USAN.

随便看

 

文网收录3541549条中英文词条,其功能与新华字典、现代汉语词典、牛津高阶英汉词典等各类中英文词典类似,基本涵盖了全部常用中英文字词句的读音、释义及用法,是语言学习和写作的有利工具。

 

Copyright © 2004-2024 Ctoth.com All Rights Reserved
京ICP备2021023879号 更新时间:2026/4/17 14:21:54