网站首页  词典首页

请输入您要查询的字词:

 

字词 二溴沙兰
类别 中英文字词句释义及详细解析
释义 二溴沙兰

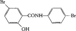
C13H9Br2NO2=371.03

CAS-87-12-7

4′,5-二溴水杨酰苯胺。

4′,5-Dibromosalicylanilide.

消毒防腐药。

双溴沙仑。

Dibromsalan.

INN,NFN,USAN.

随便看

 

文网收录3541549条中英文词条,其功能与新华字典、现代汉语词典、牛津高阶英汉词典等各类中英文词典类似,基本涵盖了全部常用中英文字词句的读音、释义及用法,是语言学习和写作的有利工具。

 

Copyright © 2004-2024 Ctoth.com All Rights Reserved
京ICP备2021023879号 更新时间:2025/10/17 23:34:49