网站首页  词典首页

请输入您要查询的字词:

 

字词 二甲拉嗪
类别 中英文字词句释义及详细解析
释义 二甲拉嗪

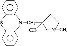
C19H22N2S=310.46

CAS-15302-12-2

10-[(1,3-二甲基-3-吡咯烷基)甲基]吩噻嗪。

10-[(1,3-Dimethyl-3-pyrrolidinyl)methyl]phenothiazine.

抗组胺药。

Dimelazime.

INN,USAN.

随便看

 

文网收录3541549条中英文词条,其功能与新华字典、现代汉语词典、牛津高阶英汉词典等各类中英文词典类似,基本涵盖了全部常用中英文字词句的读音、释义及用法,是语言学习和写作的有利工具。

 

Copyright © 2004-2024 Ctoth.com All Rights Reserved
京ICP备2021023879号 更新时间:2026/4/17 19:34:22