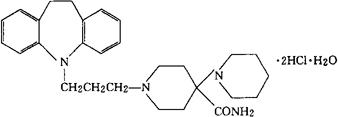
二盐酸卡哌拉明
C28H35N4O·2HCl·H2O=537.57 CAS-7075-03-8 1′-[3-(10,11-二氢-5H-二苯并[b,f]氮杂 -5-基)丙基]-1,4′-(联哌啶)-4′-甲酰胺二盐酸盐,一水化合物。 1′-[3-(10,11-Dihydro-5H-dibenz[b,f]azepin-5-yl)propyl]-(1,4′-bipiperidine)-4′-carboxamide dihydrochloride monohydrate. 抗抑郁药。 盐酸卡匹怕明,盐酸卡匹明。 Carpipramine Dihydlochroride,Prazinie.  |