网站首页  词典首页

请输入您要查询的字词:

 

字词 五氟利多[中]
类别 中英文字词句释义及详细解析
释义 五氟利多[中]

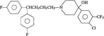
C28H27ClF5NO=523.97

CAS-26864-56-2

1-[4,4-双(4-氟苯基)丁基]-4-[4-氯-3-(三氟甲基)苯基]-4-哌啶醇。

1-[4,4-bis(4-Fluorophenyl)butyl]-4-[4-chloro-3-(trifluoromethyl)phenyl]-4-piperidinol.

抗精神病药。用于治疗急、慢性精神病。

Penfluridol,Semap.

五氟利多片。

USAN,MI.

随便看

 

文网收录3541549条中英文词条,其功能与新华字典、现代汉语词典、牛津高阶英汉词典等各类中英文词典类似,基本涵盖了全部常用中英文字词句的读音、释义及用法,是语言学习和写作的有利工具。

 

Copyright © 2004-2024 Ctoth.com All Rights Reserved
京ICP备2021023879号 更新时间:2026/4/18 17:41:13