五种常用的直线系方程
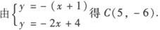
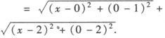
1.过两直线l1和l2交点的直线系方程为: A1x+B1y+C1+λ(A2x+B2y+C2)=0(不含l2). 2.与直线y=kx+b平行的直线系方程: y=kx+m(m≠b). 3.过定点(x0,y0)的直线系方程: y—y0=k(x—x0)及x=x0. 4.与Ax+By+C=0平行的直线系设为 Ax+By+m=0(m≠C). 5.与Ax+By+C=0垂直的直线系设为Bx—Ay+n=0. 例1 在△ABC中,BC边上的高所在的直线方程为x—2y+1=0,∠A的平分线直线的方程为y=0,若点B的坐标为(1,2),求点A和点C的坐标. 解 联立x—2y+1=0和y=0, 得A(—1,0). ∵x轴是∠BAC的平分线,如下图所示. ∴B(1,2)关于x轴的对称点必在直线AC上,故AC的方程为y=—(x+1). 又BC边上的高所在直线方程为:x—2y+1=0,∴kBC=—2. ∴BC的方程为y—2=—2(x—1).   点评 本题利用了对称关系(一个角的两边关于角平分线对称). 例2 (1)已知直线:ax+3y+1=0与x+(a—2)y+a=0平行,求a的取值范围; (2)已知直线:ax—y+2a=0与(2a1)x+ay+a=0互相垂直,求a的取值范围. 分析 含有字母参数问题,应分类讨论,达到分类讨论的训练目的 解 (1)当(a—2)≠0,a≠0时,  解得a=—1或a=3,但a=—1,使 ,舍a=—1,则a=3. (2)由a(2a—1)—a=0, 解得:a=1,a=0. 当a=0时,两方程为x=0,y=0; 当a=1时, 两方程为:x—y+2=0与x+y+1=0,互相垂直,所以a=1,a=0为所求. 点评 在研究两条直线l1∶A1x+B1y+C1=0与l2∶A2x+B2y+C2=0的平行与垂直的关系时,有 ;l1⊥l2 A1A2+B1B2=0. 例3 求函数 的最小值   令A(0,1)B(2,2),P(x0,0),则问题转化为在x轴上求一点P(x,0)使|PA|+|PB|有最小值.  如图所示,由于A、B在x轴同侧,故取A关于x轴的对称点A′(0,—1).  |