网站首页  词典首页

请输入您要查询的字词:

 

字词 溴氰菊酯
类别 中英文字词句释义及详细解析
释义

溴氰菊酯deltamelthrin

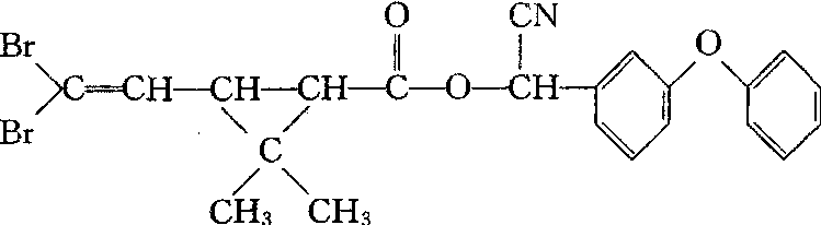
迄今开发的生物活性最高的合成拟除虫菊酯杀虫剂。商品名有敌杀死、凯素灵、凯安保、Decis、K-Othrine、K-Obiol等。有八个光学异构体,产品是单一的生物活性最高的(1R,3R)酸(S)醇溴氰菊酯。化学结构式:

1974年英国洛桑(Rothamsted)实验站的埃利奥特(M.Elliott)等首先研制成功,由法国罗素—优克福公司(Roussel-Uclaf Group)开发投入生产。
性能 纯品为白色无味结晶,熔点101~102℃,原药为无色结晶状粉末,熔点98~101℃,有效成分含量98%,25℃时蒸气压为2×10-6帕,旋光度[α]D为+58°(4%,甲苯中)。对光、空气稳定,酸性介质中较稳定,碱性介质中易分解,发生苄基碳的外消旋化、酯键断裂和皂化反应,40℃下放置6个月、100℃下放置24小时均未发现降解,室温下耐长期贮存。几乎不溶于水,溶于异丙醇、甘油、乙二醇、丙二醇、聚乙二醇等有机溶剂,易溶于丙酮、乙酸乙酯、二甲基亚砜、二甲基甲酰胺、环己酮、二恶烷、苯、二甲苯等有机溶剂。对高等动物毒性中等,原药对大鼠急性经口LD50为105~157毫克/千克(雄),114~168毫克/千克(雌)(麻油作载体),对兔急性经皮LD50大于2000毫克/千克(聚乙二醇400作载体)对大鼠急性经皮LD50大于2940毫克/千克(甲基纤维素作载体),对皮肤无刺激作用,对眼睛有轻度刺激作用,但在短期内即可消失。在试验剂量内对试验动物未发现致畸、致突变和致癌作用。对人体每日允许摄入量(ADI)为0.01毫克/千克。对鸟类低毒,对鱼类等水生生物、蜜蜂、家蚕高毒。杀虫活性很高,属神经毒剂,以触杀和胃毒作用为主,有一定的驱避与拒食作用,无内吸和熏蒸作用。击倒速度快,毒杀作用比目前应用的其他拟除虫菊酯高,高剂量能杀死害虫成虫、幼虫和卵,低剂量可使害虫幼虫拒食和成虫拒绝产卵。杀虫谱广,对直翅目、缨翅目、半翅目、鳞翅目、双翅目、鞘翅目等多种害虫有效,对螨类无效。
应用 加工成乳油、悬浮剂、超低容量液剂、可湿性粉剂、粉剂、颗粒剂等剂型使用。防治农业害虫主要采用乳油,用于棉花,蔬菜、果树、茶树、烟草、甘蔗、旱粮、林业等作物,如防治各种蚜虫、棉铃虫、棉红铃虫、菜青虫、黄条跳甲、大豆食心虫、豆荚螟、桃小食心虫、梨小食心虫、柑桔潜叶蛾、茶尺蠖、茶毛虫、介壳虫、烟青虫、甘蔗螟虫、旱粮粘虫、马尾松毛虫、赤松毛虫等。喷雾要均匀,对钻蛀性害虫应在幼虫蛀入作物前施药,残效期一般为7~14天。防治仓贮害虫主要也采用乳油,对空仓、器材、运输工具、包装材料作防虫消毒,一般采用喷雾施药。对原粮、种子粮的防虫消毒,在有机械传送装置的大粮仓,在粮食入库时,边传送入库边施药处理,在无机械传送装置的小粮仓和农户贮粮,可采用药糠处理。残效期随用药量而异,一般可达半年左右。严禁在商品粮仓和商品粮上使用本药剂。防治卫生害虫主要采用可湿性粉剂作滞留喷雾或涂刷处理卫生害虫活动或栖息场所的表面。对蜚蠊还可配制毒饵进行诱杀,对衣、被上的虱子、跳蚤可在衣、被上喷洒药液作叠放处理。

溴氰菊酯deltamethrin

又称decamethrin、敌杀死。化学名称: 3-氰基-3-苯氧基苄基-(1R,3R)-3-(2,2-二溴乙烯基)-2,2-二甲基环丙烷羧酸酯。化学结构式如下。纯品白色结晶。熔点98~101℃,25℃时蒸汽压200.0×10-8 Pa。水中溶解度极低20±2℃时溶解度<0.002 mg/L。易溶于丙酮、乙醇、苯、二甲苯等溶剂。适宜用于防治棉、蔬菜、杂粮等害虫。如棉蚜、棉铃虫、棉红铃虫、菜蚜、小菜蛾、玉米螟、麦粘虫、果树食心虫类、茶尺蠖、松毛虫等。长期使用害虫极易产生抗药性,如小菜蛾、棉蚜、棉铃虫、菜蚜等抗药性发展非常快。大鼠(♂)急性口服LD50为128.5 mg/kg、(♀)为138.7 mg/kg。兔涂皮为2 000 mg/kg无死亡。2.5%乳油大鼠急性口服LD50为537.3 mg/kg,属中等毒性。对鱼剧毒,鲤LC50为0.03 mg╱L,对蜜蜂剧毒。水稻田不宜应用。

溴氰菊酯

又称“敌杀死”。拟菊酯类杀虫剂。有强触杀作用,有效期长,用药量少。对皮肤及眼粘膜有刺激作用,残留量低,对鱼类、蜜蜂剧毒。可用于防治水稻、棉花、蔬菜及贮粮害虫。

随便看

 

文网收录3541549条中英文词条,其功能与新华字典、现代汉语词典、牛津高阶英汉词典等各类中英文词典类似,基本涵盖了全部常用中英文字词句的读音、释义及用法,是语言学习和写作的有利工具。

 

Copyright © 2004-2024 Ctoth.com All Rights Reserved
京ICP备2021023879号 更新时间:2025/10/18 14:28:59