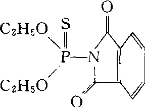
灭菌磷ditalimfos有机磷杀菌剂。化学名称:O'O二乙基邻苯-甲酰亚胺硫代磷酸酯。化学结构式如下。原药为白色结晶,水中溶解度133 mg/kg(室温)溶于正己烷、环己烷、乙醇、苯、四氯化碳、乙酸乙酯及二甲苯。常温下稳定,碱性条件下高于熔点(83~84℃)不稳定。耐紫外光分解。1966年由美国道化学公司推广。保护性杀菌剂。叶面喷洒用于防治苹果白粉病、黑星病。大鼠急性口服LD50为5 660 mg/kg、每天以51 mg/kg剂量饲喂大鼠,连续102天,未见中毒病状。对植物安全,有时出现轻度药害。 
|