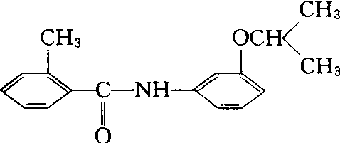
灭锈胺mepronil又称担菌宁。酰胺类杀菌剂。化学名称:3-异丙氧基-2-甲基苯酰替苯胺。化学结构式如下。原药白色结晶,20℃时水中溶解度12.7 mg/kg,易溶于有机溶剂。在水中或pH5~9的弱酸、弱碱液中稳定,对光、热稳定,1981年日本组合化学工业公司开发。为选择性杀菌剂,对担子菌有特效,如水稻纹枯病、小麦锈病、梨锈病、棉立枯病、马铃薯菌核病等。通过种子处理,土壤处理,叶面喷洒,可抑制菌核萌芽、侵入菌丝块的形成、菌丝伸长,病斑扩大。有较长的残效,还可用于工业上防霉杀菌。如木材防腐,鱼网处理等,对植物安全,对大鼠急性口服LD50>10 000 mg/kg,经皮LD50>10 000 mg/kg,对兔眼黏膜无刺激,鲤鱼TLM(48 h)8.6mg/kg。 
|