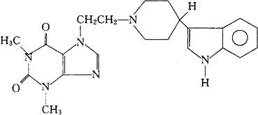
他美立酮
C22H26N6O2=406.49 CAS-102144-78-5 3,7-二氢-7-[2-[4-(1H-吲哚-3-基)-1-哌啶基]乙基]-1,3-二甲基-1H-嘌呤-2,6-二酮。 1H-Purine-2,6-dione,3,7-dihydro-7-[2-[4-(1H-indol-3-yl)-l-piperidinyl]ethyl]-1,3-dimethyl-. 7-[2-(4-吲哚-3-基哌啶基)乙基]茶碱。 7-[2-(4-Indol-3-ylpiperidino)ethyl]theophylline. 镇静药,影响精神状态药。 Tameridone,R 51 163. INN,BAN,USAN.  |