网站首页  词典首页

请输入您要查询的字词:

 

字词 仙鹤草根芽
类别 中英文字词句释义及详细解析
释义 仙鹤草根芽

【名称出处】:中华医学杂志

【概况】:

异名 狼牙草根芽(中草药通讯)。

基源 为蔷薇科植物龙牙草及变种黄龙尾带有不定芽的根茎。

原植物 龙牙草Agrimonia pilosa Lédeb.[Agrimonia pilosa Ledeb.var.japonica(Miq.)Nakai]及变种黄龙尾Agrimonia pilosa Ledeb.var.nepalensis(D.Don)Nakai

余项参见“仙鹤草”条。。

【生药】:

采集 冬、春季新株萌发前挖取根茎,去老根、留幼芽,洗净,晒干。

鉴别

性状 根芽略呈圆锥形,中上部常弯曲,长2~4cm,直径0.5~1cm。芽由数片黄棕色披针形的膜质,鳞片包被,芽鳞上有数条纵向叶脉,剥去芽鳞,可见黄色或黄绿色的幼芽,密被白毛;质脆易碎。短小根茎圆柱形,长1~2cm,表面棕褐色,有紧密的环状节,著生棕色细小的鳞片叶及须根;质硬,断面平坦,黄白色。气微,味先微甜而后苦涩。

贮藏 置阴凉干燥处。

。【化学】:

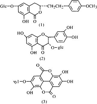
含鹤草酚(Agrimophol)[1]、正二十九烷、β-谷甾醇,伪绵马素(Pseudoaspidin)、R-(-)-仙鹤草酚B(R-(-)-Agrimol B),反式对羟基肉桂酸酯的同系物混合物[2]、新的异香豆精甙:仙鹤草内酯6-O-β-D-葡萄吡喃糖甙(Agrimonolide-6-O-β-D-glucopyranoside)(1)[3]、软脂酸、胡萝卜甙、2s,3s-(-)花旗松素-3-O-β-D葡萄吡喃糖甙(2s,3s-(-)-Taxifolin-3-Oβ-D-glucopyranoside)(2)[4]、鞣花酸4-O-β-D-吡喃木糖甙(Ellagic acid-4-Oβ-D-xylopyranoside)(3)、仙鹤草内酯(Agrimonolide)、鞣花酸(Ellagic acid)、委陵菜酸(Tormentic acid)[5,6]

参考文献 [1] 化学学报 1977;35:87 [2] 药学学报 1989;24(6):431 [3] 药学学报 1989;24(11):837 [4] 药学学报 1990;25(4):267 [5] 药学学报 1990;25(10):798 [6] 裴月湖博上论文.沈阳药学院,1987

【药理】:

参见“仙鹤草”条

【药性】:

性味 苦,凉。

《四川中药志》:“苦,凉。”

功效 驱虫,消炎。

主治 绦虫病,阴道滴虫病,滴虫性肠炎,疖肿。 ❶ 《全国中草药汇编》:“驱虫。治绦虫病。”
❷ 《中药大辞典》:“治绦虫病,滴虫性肠炎。”
❸ 《新乡地区中草药选编》:“用作驱绦灭囊药。”
❹ 《四川中药志》:“驱虫,消炎。用于绦虫病,阴道滴虫病,疖肿。”

用法用量 内服:粉剂,成人30~50g,小儿0.7~0.8g/kg,晨空腹1次顿服,无需另服泻药。浸膏,成人1.5g,小儿45ml/kg。鹤草酚结晶,成人0.7g。

鹤草酚粗晶片,成人0.8g,小儿25ml/kg。以上三种均在晨空腹1次顿服,服后1小时半用硫酸镁导泻。

使用注意 本品遇热失效,不宜煎服。

❶ 中华医学杂志1974;(6):部分患者于服仙鹤草根芽全粉或鹤草浸膏后1至数小时,有恶心呕吐,但均较轻;个别患者反应较重,偶可导致虚脱。”
❷ 《新乡地区中草药选编》:“本品有导泻作用,不必再服泻药。”

。【临床应用】:

单方应用 ❶ 中华医学杂志 1974;(6):“治绦虫病:用仙鹤草根芽全粉、浸膏及其提取物-鹤草酚结晶和鹤草酚粗晶片治疗275例,效果显著。”
❷ 抚顺卫生 1972;(1):“治滴虫性肠炎:用根芽石灰乳浸提取物灌肠。”

随便看

 

文网收录3541549条中英文词条,其功能与新华字典、现代汉语词典、牛津高阶英汉词典等各类中英文词典类似,基本涵盖了全部常用中英文字词句的读音、释义及用法,是语言学习和写作的有利工具。

 

Copyright © 2004-2024 Ctoth.com All Rights Reserved
京ICP备2021023879号 更新时间:2026/4/18 21:19:37