球面上两点间的距离的计算qiumianshang liang dianjian de juli de jisuan
若已知球面上两点A,B的经度和纬度,计算A,B两点的球面距离,可分三种情况:
❶经度相同,纬度不同 设A,B的经度都是东(西)经β度,而它们的纬度分别为北纬α1度和α2度,球半径为R,则A,B两点的球面距离为东(西)经β度线上
的长(图1),易知
的长=πR/180(α1-α2).

图1
例 求东经38°线上纬度分别为北纬60°和30°的两地A,B间的球面距离.
解 A,B两地的球面距




图2
❷纬度相同,经度不同 设A,B的纬度都是北(南)纬α度,而它们的经度分别为东经β
1和β2度,球半径为R,则A,B两点的球面距离为过A,B两点的大圆的劣弧

的长.如图2,在Rt△AO
1O中
O
1A=OAcos∠O
1AO=





例 已知A,B两地都位于北纬45°,它们的经度分别为30°和60°,求A,B两地的球面距离.




图3
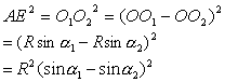
❸经度不同,纬度不同设A在北纬α
1度,东经β
1度,B在北纬α
2度,东经β
2度,球半径为R,则A,B两点的球面距离为过A,B两点的大圆的劣弧

的长.如图3,设⊙O
1与⊙O
2分别过A,B的纬度圈,过A,C的大圆与过B,D的大圆分别为A,B的经度圈,作AE⊥平面O
2BC,因为经度圈与纬度圈所在的平面互相垂直,所以垂足E在O
2C上,连接EB,AB,则

在△O
2BE中,有
BE
2=O
2E
2+O
2B
2-2O
2E·O
2Bcos(β
2-β
1)






例 已知A地位于北纬30°,东经60°,B地位于北纬60°,东经90°,求A,B两地的球面距离.
解 这里α
1=30°,α
2=60°,β
1=60°,β
2=90°,由上面的公式得

使用上面的公式时,应注意北纬与南纬,西经与东经是具有相反意义的量,我们规定北纬与东经的度数为正,南纬与西经的度数为负.