网站首页  词典首页

请输入您要查询的字词:

 

字词 甜菜碱
类别 中英文字词句释义及详细解析
释义

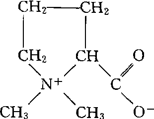
甜菜碱betaine

氨基酸氨基上的氢被甲基取代后形成的一类氮甲基化合物或三甲基内盐。常见的有甘氨酰甜菜碱,β-丙氨酰甜菜碱和脯氨酰甜菜碱,其结构式如下。溶解度大,19℃下为157 g/L。主要存在于细胞质中。在干旱或盐逆境中,许多植物体内积累甜菜碱,成为渗透调节的主要有机溶质,对蛋白质和细胞膜有保护作用。其生物合成是由乙醇胺甲基化形成胆碱,再进一步氧化而成。因而与光呼吸和磷脂代谢有密切的关系。

甘氨酰甜菜碱

β-丙氨酰甜菜碱

脯氨酰甜菜碱

随便看

 

文网收录3541549条中英文词条,其功能与新华字典、现代汉语词典、牛津高阶英汉词典等各类中英文词典类似,基本涵盖了全部常用中英文字词句的读音、释义及用法,是语言学习和写作的有利工具。

 

Copyright © 2004-2024 Ctoth.com All Rights Reserved
京ICP备2021023879号 更新时间:2025/10/16 21:00:04