释义 |
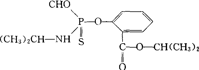
甲基异柳磷isofenphos-methyl高效高毒硫逐式一硫代磷酰胺类杀虫、杀线虫剂。化学结构式:  1977年中国华中师范大学首先开发。 性能 纯品为淡黄色油状液体,强酸或碱性介质中易分解,光和热能加速分解。难溶于水,易溶于一般有机溶剂,不溶于石油醚。对高等动物高毒,大白鼠急性口服LD5029.69毫克/千克(雌),28.4毫克/千克(雄);急性经皮LD50 49.2毫克/千克(雌),60.08毫克/千克(雄)。对蜜蜂毒性高。甲基异柳磷对害虫具有触杀、胃毒作用。 应用 甲基异柳磷适宜用来防治土壤害虫,具有药效好、持效期长的优点。主要以种子处理或撒毒土、撒毒饵、沿播种带浇施药液等方式,用于小麦、玉米、高粱、大豆、花生、廿薯、甜菜等作物,防治蛴螬、蝼蛄、金针虫等土壤害虫,可兼治甘薯茎线虫、花生根结线虫、大豆孢囊线虫。用颗粒剂撒施于蔗苗根际,施药后覆土,可防治甘蔗金龟子。药液土壤处理,可防治甘蔗象甲、桃小食心虫、小麦吸浆虫。还可用乳油对水喷雾,防治小麦、玉米、花生的蚜虫、粘虫。但不能用于蔬菜、茶树,也不能对果树叶面喷雾。甲基异柳磷isofenphos methyl高毒有机磷杀虫剂。化学名称:O-甲基-O-(2-异丙氧基羰基苯基)N-异丙基硫代磷酰胺。化学结构式如下。纯品淡黄色油状液体,折光率1.5221,不溶于水,易溶于有机溶剂。工业纯品急性口服LD50大鼠(♂)为28.4 mg/kg、(♀)为29.69 mg/kg、小鼠(♂)为24.9 mg/kg、(♀)为33.8 mg/kg,经皮大鼠(♂)LD50为68.08 mg/kg、(♀)为71.13 mg/kg,无作用剂量(NEL)♂大鼠为0.02 mg/(kg·d)、(♀)0.019 mg/(kg·d)。对防治地下害虫有较好的效果。40%乳油500 ml,加水50~60 kg,拌小麦、玉米、高粱种子500~600 kg,播种后可防治蝼蛄、蛴螬、金针虫,保苗期20~40天。亦可用于防治大豆、花生根部线虫。 
|