| 释义 |
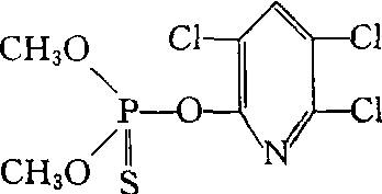
甲基氯吡磷chlorpyrifos methyl又称甲基毒死蜱。有机磷广谱杀虫剂。化学名称:O,O-二甲基-O-3,5,6-三氯-2-吡啶基硫逐磷酸酯。化学结构式如下。原药为白色颗粒状结晶,稍带硫醇味,熔点45.5~46.5℃,25℃时蒸气压562.62×10-5Pa。几乎不溶于水,25℃时水中溶解仅5 mg/kg,微溶于乙醇和甲醇,易溶于丙酮、苯、乙醚、氯仿等多数有机溶剂。中性溶液稳定,遇酸(pH4~6)和碱(pH 8~10)水解。具有触杀、胃毒和熏蒸作用。可用于防治水稻螟虫纵卷叶螟、稻飞虱、叶蝉、黏虫、棉铃虫、红铃虫、盲蝽象、蚜虫、螨类及多种果树、蔬菜害虫,也可用于防治贮粮害虫。对人、畜的毒性比毒死蜱低,大鼠急性口服LD50为1 824~2 472 mg/kg,急性经皮LD50>2 800 mg/kg。对鱼等水生动物有毒,鲤鱼TLm (48 h)4. 0 mg/kg。ADI值为0.01 mg/kg。 
|