| 释义 |
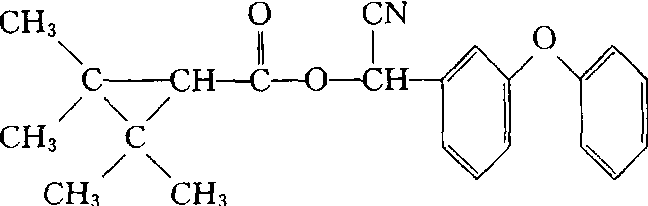
甲氰菊酯fenpropathrin具有一定杀螨活性但不含氟的合成拟除虫菊酯杀虫剂,商品名有灭扫利、Meothrin、Rody、Danitrol等。有两个光学异构体。化学结构式:  1973年日本住友化学公司(Sumitomo Chemical Co.,Ltd.)开始开发后投入生产。 性能 纯品为白色结晶,熔点49~50℃,原药为棕黄色固体,有效成分含量90%以上,熔点45~50℃,20℃时蒸气压为7.3×10-4帕,密度d254 1.150。对光、热稳定,酸性介质中较稳定,碱性介质中易分解,常温下密闭贮存较稳定。难溶于水,易溶于甲醇、环己酮、卤代烃、脂肪烃、芳香烃等有机溶剂。对高等动物毒性中等,原药对大鼠急性经口LD50为70.6毫克/千克(雄)、66.7毫克/千克(雌),对兔急性经口LD50为675毫克/千克(雄)、510毫克/千克(雌),对大鼠急性经皮LD50为1000毫克/千克(雄)、870毫克/千克(雌),对兔急性经皮LD50为2000毫克/千克,对大鼠急性吸入LC50大于96毫克/米3。在试验剂量内对试验动物未发现致畸、致突变和致癌作用。对鱼类等水生生物、蜜蜂、家蚕高毒,对鸟类低毒。杀虫活性高,属神经毒剂,具有触杀和胃毒作用,有一定的驱避作用,无内吸传导和熏蒸作用。残效期较长,对防治对象有过敏刺激作用,驱避其取食和产卵,低温下也能发挥较好的防治效果。杀虫谱广,对鳞翅目、同翅目、半翅目、双翅目、鞘翅目等多种害虫有效,对多种害螨的成螨、若螨和螨卵有一定的防治效果,可用于虫、螨兼治。 应用 加工成乳油、可湿性粉剂等剂型使用。主要用于棉花、蔬菜、果树、茶树、花卉等作物,防治各种蚜虫、棉铃虫、棉红铃虫、菜青虫、甘蓝夜蛾、桃小食心虫、柑桔潜叶蛾、茶尺蠖、茶毛虫、茶小绿叶蝉、花卉介壳虫、毒蛾等。可兼治多种害螨,因易产生抗药性,不作为专用杀螨剂使用。施药时喷雾要均匀,对钻蛀性害虫应在幼虫蛀入作物前施药。残效期一般在10天左右。甲氰菊酯fenpropathrin又称灭扫利、meothrin。一种杀螨杀虫剂。化学名称:α-氰基-3-苯氧基苄基-2,2,3,3-四甲基环丙烷羧酸酯。化学结构式如下。原药棕黄色液体,密度1.15(25℃)、熔点45~50℃,25℃时蒸气压1 298.56×10-6 Pa。不溶于水,溶于二甲苯、环己烷等溶剂。中等毒性,大鼠口服LD50为70.6~164 mg/kg,兔经皮LD50为2 000 mg/kg。对鱼高毒。可防治棉叶螨、山楂叶螨、柑橘叶螨、温室粉虱、二点叶螨、桃蚜、桃小食心虫、橘蚜等。 
|