| 释义 |
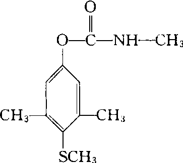
甲硫威methiocarb又称灭虫威,mercaptodimethur,metmercapturon。一种杀虫杀螨剂。化学名称:3,5-二甲基-4-甲硫基酚基甲基氨基甲酸酯。结构式如下。原药白色粉状结晶,略有气味。溶点119℃,25℃时蒸气压4.2×10-7Pa。不溶于水、不溶于己烷,溶于丙醇及甲苯。大鼠口服LD50 (试验前饥饿)10~35mg/kg、(试验前喂食的)为100~130 mg/kg。大鼠吸入LC50 >20 mg/m3空 气。兔经皮 >5 000 mg/kg。可用于棉花、果树、粮食作物、蔬菜防治蚜、螨蓟马、木虱、叶蝉、蟓䖬。还可以防治蛞蝓、蜗牛。主要是胃毒及触杀作用,无内吸作用。对鸟类有很强忌避作用。 
|