甲醛jiǎ quán一种有机化合物。1932年11月《化学命名原则·有机化学命名原则》第三章:“formaldehyde (methanal),甲醛。”1942年《普通英汉化学词汇》:“Formaldehyde,甲醛。”◇蚁醛,曾经还称“福尔迈台海”,此为英语formaldehyde (甲醛)之音译。 甲醛一种有机化工产品。无色、可燃、强烈刺激性和窒息性气体。1859年俄国A.M.布特列洛夫首先制得此物。1889年德国首次用甲醇制得甲醛(现在均用甲醇为原料)。甲醛通常以含纯甲醛30%~56%的水溶液生产和销售,其商品名称福尔马林。2001年中国生产甲醛234.4万t。甲醛有50%以上用作生产脲醛、酚醛、聚甲醛等合成树脂,以及聚缩醛等工程塑料(用于汽车和电子工业),30%左右用于合成螯合剂、织物整理剂、胶粘剂、涂料等用的溶剂等。 甲醛 甲醛jiaquan是无色、有刺激性气味的气体,熔点为-92℃,沸点为-21℃,相对密度为0.815,有凝固蛋白质的作用。甲醛易溶于水,含甲醛40%的水溶液——“福尔马林”在医药和农业上被用做消毒剂。

工业上常用催化氧化法由甲醇制取甲醛:

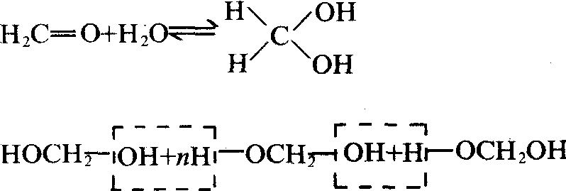
亦可用天然气控制氧化制取甲醛。 甲醛具有醛的通性,由于其结构特殊——羰基两端均与氢原子相连,又表现出一些特性。 甲醛很容易聚合,在不同条件下生成不同的聚合物:
 三聚甲醛
蒸发甲醛水溶液时生成多聚甲醛:
 →HOCH2(OCH2)nOCH2OH+(n-1)H2O
当n>100时为无定形固体,不溶于水,受热至180~200℃时,又可分解为甲醛,是气体甲醛的方便来源。 纯甲醛在三正丁胺催化下,可生成线型高分子化合物:

多聚甲醛为一新型热塑性塑料,其机械强度可与金属材料媲美。 甲醛与氨作用可生成环六亚甲基四胺,(CH 2) 6N 4,其商品名为乌洛托品,是易溶于水、有甜味的无色晶体,可用做利尿剂。乌洛托品再经浓硝酸硝化,可得一种烈性炸药——黑索金。 ☚ 醛 乙醛 ☛ 甲醛 甲醛Jiaquan结构式 ,无色有刺激气味的气体,熔点-92℃,沸点-21℃,易溶于水,含甲醛35—50%的水溶液叫福尔马林。甲醛在工业上用甲醇为原料制造。甲醛是重要的化工原料,用于制造塑料、医药、农药。甲醛还可用作消毒剂和防腐剂。用福尔马林浸泡的生物标本可以长期不腐败。 
醛类化合物的性质比较活泼,容易发生多种化学反应。 ☚ 苯酚 乙酸 ☛ 甲醛formaldehyde |