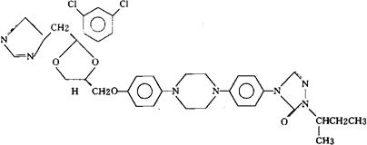
伊曲康唑[中]
C35H38Cl2N8O4=705.65 CAS-84625-61-6 4-[4[4-[4-[[2-(2,4-二氯苯基)-2-(1H-1,2,4-三唑-1-基-甲基)-1,3二氧戊环-4-基]甲氧]苯基]-1-哌嗪基]苯基]-2,4-二氢-2-(1-甲基丙基)-3H-1,2,4-三唑基-3-酮。 4-[4-[4-[4-[[2-(2,4-Dichlorophenyl)-2-(1H-1,2,4-triazol-1-ylmethyl)-1,3-dioxolan-4-yl]methoxy]phenyl]-1-phiperazinyl]phenyl]-2,4-dihydro-2-(1-methylpropyl)-3H-1,2,4-triazol-3-one. (±)-1-仲-丁基-4-[对-[4-[对-[[(2R*,4S*)-2-(2,4-二氯苯基)-2-(1H-1,2,4-三唑-1-基甲基)-1,3-二氧戊环-4-基]甲氧基]苯基]-1-哌嗪基]苯基]-△2-1,2,4-三唑啉-5-酮。 (±)-1-sec-Butyl-4-[p-[4-[p-[[(2R*,4S*)-2-(2,4-dichlorophenyl)-2-(1H-1,2,4-triazol-1-ylmethyl)-1,3-dioxolan-4-yl]methoxy]phenyl]-1-piperazinyl]phenyl]△2-1,2,4-triazolin-5-one. 抗真菌药。 Itraconazole,R51,211,Oriconazole. INN,BAN,USAN. 
|