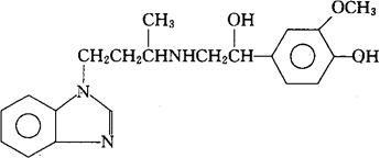
伊莫特罗
C20H25N3O3=355.44 CAS-88578-07-8 α-[[[3-(1-苯并咪唑基)-1-甲基丙基]氨基]甲基]香草醇。 α-[[[3-(1-Benzimidazolyl)-1-methylpropyl]amino]methyl]vanillyl alcohol. α-[[[3-(1-苯并吡唑-1-基)-1-甲基丙基]氨基]甲基]-4-羟-3-甲氧苯甲醇。 α-[[[3-(1H-Benzimidazol-1-yl)-1-methylpropyl]amino]methyl]-4-hydroxy-3-methoxybenzenemethanol. 支气管扩张药。 Imoxiterol,RB 1622. INN,USAN. 
|