网站首页  词典首页

请输入您要查询的字词:

 

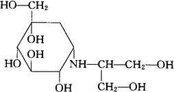
字词 伏格列醇
类别 中英文字词句释义及详细解析
释义 伏格列醇

C10H21NO7=267.28

CAS-83480-29-9

3,4-二去氧-4-[[2-羟-1-(羟甲基)乙基]氨基]-2-C(羟乙基)-D-表肌醇。

3,4-Dideoxy-4-[[2-hydroxy-1-(hydroxymethyl)ethyl]amino]-2-C-(hydroxyethyl)-D-epiinositol.

降血糖药。

Voglibose.

INN,USAN.

随便看

 

文网收录3541549条中英文词条,其功能与新华字典、现代汉语词典、牛津高阶英汉词典等各类中英文词典类似,基本涵盖了全部常用中英文字词句的读音、释义及用法,是语言学习和写作的有利工具。

 

Copyright © 2004-2024 Ctoth.com All Rights Reserved
京ICP备2021023879号 更新时间:2025/11/30 17:41:06